Top.Mail.Ru
krasnodar@dia-m.ru 8 (800) 234-05-08
8-863-303-55-00
Ваш регион Москва?

Химические реактивы - буква «т»(временно недоступные реактивы)

neoFroxx
Твин 20, CAS 9005-64-5, pure EP, USP, (аналог арт. 056270.500, CDH, Индия)
LC-11588.2
500 мл
LC-11588.1
1 л
LC-11588.3
5 л
Товар временно недоступен. Аналог: 056270.500 ml, CDH, Индия


Синонимы: полисорбат 20, монолаурат полиоксиэтиленсорбитана.
CAS-No. 9005-64-5
Химическая формула C₅₈H₁₁₄O₂₆
Молекулярный вес, г/моль 1227,72
Содержание основного вещества, % не менее 97-100,5
Остаток при воспламенении (в виде SO4), % не более 0,2
Гидроксильное значение 96-108
Йодное число не более 5
Пироксидное число не более 5
Омыление 40-50
Состав жирных кислот тест пройден
Полный пепел не более 0,25
Остаточные растворители (EP/USP) тест пройден
1,4-диоксан, % не более 0,001
C10 (каприновая кислота), % не более 10
С12 (лауриновая кислота), % не более 40-60
С14 (миристиновая кислота), % не более 14-25
С16 (пальмитиновая кислота), % не более 7-15
С18 (линолевая кислота), % не более 3
C18 (олеиновая кислота), % не более 11
C18 (стеариновая кислота), % не более 7
С6 (капроновая кислота), % не более 1
C8 (каприловая кислота), % не более 10
Окись этилена, % не более 0,0001
Вода (по Карлу Фишеру), % не более 3
Цвет по Гарднеру не более 6
neoFroxx
Твин 20, CAS 9005-64-5, Ph. Eur., (аналог арт. 923600, CDH, Индия)
8506LT001
1 л
Товар временно недоступен. Аналог: 923600, CDH, Индия



Синоним: полиэтиленгликоль сорбитанмонолаурат, полиоксиэтиленсорбитан монолаурат.
CAS-No. 9005-64-5
Химическая формула C₅₈H₁₁₄O₂₆
Молекулярный вес, г/моль 12270,72
Внешний вид вязкая жидкость
СМС (25°C, моль/л 5,9×10⁻⁵
Плотность (d 20°C/4°C) 1,095 – 1,105
Омыление 40-50
Точка кипения, °C > 100
Цвет по Гарднеру макс. 6
Условия хранения ниже 25°C, в защищенном от света месте

Индекс безопасности

Индекс безопасности (S)
7/8
neoFroxx
Твин 20, CAS 9005-64-5, для молекулярной биологии, (аналог арт. 923600, CDH, Индия)
8506ML100
100 мл
8506ML250
250 мл
Товар временно недоступен. Аналог: 923600, CDH, Индия


Синоним: монтанокс 20, полисорбат 20.
CAS-No. 9005-64-5
Химическая формула C₅₈H₁₁₄O₂₆
Молекуляный вес, г/моль 1227,72
ДНК-азы/РНК-азы/протеазы не обнаружены
Плотность (d 20 °C / 4 °C) 1,095-1,105
Гидроксильное число, мг KOH/г почти 100
Омыление 40-50
CMC (25 °C), мол/л 5,9 x 10⁻⁵
Растворимость (25 °C в воде), г/л 100
Точка кипения, °C не менее 100
Вязкость (20°C, 50% в воде), мПа×с 210-262
Медь, % не более 0,0001
Железо, % не более 0,0001
Свинец, % не более 0,0001
PanReac Applichem
Твин 20, для синтеза
162312.1214
5 л

Товар временно недоступен. Аналоги по запросу ниже.



CAS-No. 9005-64-5
Внешний вид жидкость
Плотность 1,105 кг/л
Растворимость в воде 100 г/л при 25°С
Индекс рефракции 1,4735
PanReac Applichem
Твин 20
A-4974,0250
250 мл
A-4974,0500
500 мл
A-4974,1000
1 л

Товар временно недоступен. Аналоги по запросу ниже.

neoFroxx
Твин 80, CAS 9005-65-6, Ph. Eur., (аналог арт. 056300, CDH, Индия)
LC-10054.2
500 мл
LC-10054.1
1 л
LC-10054.7
2,5 л
LC-10054.3
5 л
LC-10054.4
10 л
LC-10054.6
20 л
Товар временно недоступен. Аналог: 056300, CDH, Индия


Синоним: полисорбат 80.
CAS-No. 9005-65-6
Химическая формула C₆₄H₁₂₄O₂
Молекуляный вес, г/моль 1309,66
Содержание основного вещества, % не менее 98,5-101,0
Гидроксильное число, мг KOH/г 65-80
1,4-диоксан, % не более 0,001
C14 (миристиновая кислота), % не более 5,0
C16 (пальмитиновая кислота), % не более 16,0
C16 (пальмитолеиновая кислота), % не более 8,0
C18 (линоленовая кислота), % не более 4,0
C18 (линолевая кислота), % не более 18,0
C18 (олеиновая кислота), % Не менее 58,0 и не более 85.0
C18 (стеариновая кислота), % не более 6,0
Окись этилена не более, % не более 0,0001 % (пересмотрено)
Вода (по Карлу Фишеру), % не более 3,0
Цвет по Гарднеру макс. 10 не более 10

Индекс риска

R36/37/38Раздражает глаза, органы дыхания и кожу
R37/38Раздражает органы дыхания и кожу
Индекс риска (R)
22-36/37/38-37/38-41
PanReac Applichem
Твин 80 (Полисорбат 80), (USP-NF, BP, Ph. Eur.) pure, pharma grade
142050.1611
1 л

Товар временно недоступен. Аналоги по запросу ниже.



CAS-No. 9005-65-6
Внешний вид темно-желтая жидкость
Плотность при 25/25 1,06-1,09
Вязкость при 25°C 300-500 cSt
Кислотное число 2,0
Гидроксильное число 65-80
Йодное число 18-24
Пероксидное число 10,0
Число омыления 45-55
Жирные кислоты: Миристиновая кислота 5,0% Пальмитиновая кислота 16,0% Пальмитолеиновая кислота 8,0% Стеариновая кислота 6,0% Олеиновая кислота 58,0 - 85,0% Линолевая кислота 18,0% Линоленовая кислота 4,0%
Этилен оксид 0,0001%
Диоксан- 1,4 0,001%
Вода 3,0 %
Свинец 0,001%
Платина, Палладий 10 ppm
Иридий, Родий, Рутений, Осмий 10 ppm
Молибден, Никель, Хром, Ванадий 25 ppm
Марганец, Медь 250 ppm
Железо, цинк 1 300 ppm
Условия хранения комнатная температура

Индекс риска

R22Опасно при проглатывании
R36/37/38Раздражает глаза, органы дыхания и кожу
R37/38Раздражает органы дыхания и кожу
R41Риск серьёзного повреждения глаз
Индекс риска (R)
22-36/37/38-37/38-41

Индекс безопасности

S24/25Избегать попадания на кожу и в глаза
S36/37/39Надеть соответствующую защитную одежду, перчатки и средства защиты глаз/лица
S36Наденьте соответствующую защитную одежду
S26В случае попадания в глаза немедленно промыть глаза большим количеством воды и обратиться за медицинской помощью
Индекс безопасности (S)
24/25-36/37/39-36-26
neoFroxx
Темед, 99%, для биохимии, (аналог арт. 044308, CDH, Индия)
8027ML100
100 мл
Товар временно недоступен. Аналог: 044308, CDH, Индия
PanReac Applichem
Тетрагидрофуран (ТГФ), 99,9%, для ВЭЖХ, УФ, ИК, ГПХ PAI
361736.1611С
1 л
361736.1612С
2,5 л

Товар временно недоступен. Аналоги по запросу ниже.

Данный реактив входит в список прекурсоров, для покупки требуется заполнить бланк об отпуске прекуросоров.




Синоним: диэтиленоксид, тетраметиленоксид.
CAS-No. 109-99-9
Химическая формула C₄H₈O
Молекулярный вес 72,11 г/моль
Внешний вид бесцветная прозрачная жидкость
Содержание основного вещества 99,5%
Плотность при 20/4 0,888-0,892
APHA цвет 10
Кислотность 0,0002 мг-экв/г
Щелочность 0,0002 мг-экв/г
Нелетучие вещества 0,0002%
Пероксиды 0,01%
Вода 0,02%
ИК-тест пройден
Коэффициент пропускания при 215 нм не менее 10%
Коэффициент пропускания при 240 нм не менее 30%
Коэффициент пропускания при 245 нм не менее 50%
Коэффициент пропускания при 260 нм не менее 70%
Коэффициент пропускания при 265 нм не менее 80%
Коэффициент пропускания при 275 нм не менее 90%
Коэффициент пропускания при 310-450 нм не менее 99%

Индекс риска

R11Очень огнеопасно
R19Может образовывать взрывоопасные перекиси
R36/37Раздражает глаза и органы дыхания
R40Ограниченная возможность канцерогенных эффектов
Индекс риска (R)
11-19-36/37-40

Индекс безопасности

S16Хранить вдали от источников возгорания — Не курить
S29Не сливать в канализацию
S33Примите меры предосторожности во избежание статических разрядов
S36/37Надеть соответствующую защитную одежду и перчатки
Индекс безопасности (S)
16-29-33-36/37
PanReac Applichem
Тетрагидрофуран (ТГФ), 99,5%, для синтеза
163537.1714
5 л

Товар временно недоступен. Аналоги по запросу ниже.

Данный реактив входит в список прекурсоров, для покупки требуется заполнить бланк об отпуске прекуросоров.


Синоним: диэтиленоксид, тетраметиленоксид
Синоним: диэтиленоксид, тетраметиленоксид
CAS-No. 109-99-9
Химическая формула C₄H₈O
Молекулярный вес 72,11 г/моль
Внешний вид бесцветная прозрачная жидкость
Содержание основного вещества 99,5%
ИК-тест тест пройден
Стабилизирован BHT 300 ppm
Нелетучие вещества 0,03%
Пероксиды 0,05%
Вода 0,03%

Индекс риска

R11Очень огнеопасно
R19Может образовывать взрывоопасные перекиси
R36/37Раздражает глаза и органы дыхания
R40Ограниченная возможность канцерогенных эффектов
Индекс риска (R)
11-19-36/37-40

Индекс безопасности

S16Хранить вдали от источников возгорания — Не курить
S29Не сливать в канализацию
S33Примите меры предосторожности во избежание статических разрядов
S36/37Надеть соответствующую защитную одежду и перчатки
Индекс безопасности (S)
16-29-33-36/37

Индекс опасности

Индекс опасности (H)
225, EUH019, 319, 335, 351

Индекс предупреждения

Индекс предупреждения (P)
210, 261, 303+361+353, 304+340, 305+351+338, 501

Символы опасности

Символы опасности
огнеопасно, опасность, опасно для здоровья
PanReac Applichem
Тетрагидрофуран (ТГФ), 99,5%, для анализа, ACS
133537.1612
2,5 л

Товар временно недоступен. Аналоги по запросу ниже.

Данный реактив входит в список прекурсоров, для покупки требуется заполнить бланк об отпуске прекуросоров.


Синоним: диэтиленоксид, тетраметиленоксид
CAS-No. 109-99-9
Химическая формула C₄H₈O
Молекулярный вес 72,11 г/моль
Внешний вид бесцветная прозрачная жидкость
Содержание основного вещества 99,5%
ИК-тест пройден
Стабилизирован BHT 300 ppm
Нелетучие вещества 0,03%
Пероксиды 0,015%
Бутанол-1 0,05%
Пропанол-1 0,05%
Пропанол-2 0,05%
Ацетон 0,05%
Вода 0,05%
Металлы по ICP (ppm):
Серебро 0,05
Алюминий 0,5
Мышьяк 0,05
Золото 0,05
Медь 0,02
Железо 0,1
Ртуть 0,1
Магний 0,1
Марганец 0,02
Свинец 0,1
Цинк 0,1

Индекс риска

R11Очень огнеопасно
R19Может образовывать взрывоопасные перекиси
R36/37Раздражает глаза и органы дыхания
R40Ограниченная возможность канцерогенных эффектов
Индекс риска (R)
11-19-36/37-40

Индекс безопасности

S16Хранить вдали от источников возгорания — Не курить
S29Не сливать в канализацию
S33Примите меры предосторожности во избежание статических разрядов
S36/37Надеть соответствующую защитную одежду и перчатки
Индекс безопасности (S)
16-29-33-36/37

Индекс опасности

Индекс опасности (H)
225, EUH019, 319, 335, 351

Индекс предупреждения

Индекс предупреждения (P)
210, 261, 303+361+353, 304+340, 305+351+338, 501

Символы опасности

Символы опасности
огнеопасно, опасность, опасно для здоровья
PanReac Applichem
Тетраметилбензидин (ТМБ), 98%, BioChemica, (аналоги: арт. 658545.25gm, CDH; арт. 3817.0200, НИОПИК)
A-3840,0005ф
5 г
A-3840,0025ф
25 г
A-3840,0100ф
100 г

Товар временно недоступен. Аналоги: 658545.25gm, CDH; 3817.0200, НИОПИК.



CAS-No. 54827-17-7
Химическая формула C₁₆H₂₀N₂
Молекулярная масса 240,35
Содержание основного вещ-ва & более 98%
Точка плавления 166-170°C
Растворимость (20°C, H2O) не растворим
Потери при высушивании менее 0,5 %
Зольный остаток менее 0,2 %
Условия хранения комнатная температура

Индекс риска

R36/38Раздражает глаза и кожу
R36/37/38Раздражает глаза, органы дыхания и кожу
R22Опасно при проглатывании
Индекс риска (R)
36/38-36/37/38-22

Индекс безопасности

S26В случае попадания в глаза немедленно промыть глаза большим количеством воды и обратиться за медицинской помощью
S36Наденьте соответствующую защитную одежду
S36/37Надеть соответствующую защитную одежду и перчатки
Индекс безопасности (S)
26-36-36/37
neoFroxx
Тетрациклин гидрохлорид, CAS 64-75-5, 95%, для биохимии, (аналог арт. 987810.25 gm, CDH, Индия)
1302GR025
25 г
Товар временно недоступен. Аналог: 987810.25 gm, CDH, Индия


CAS-No. 64-75-5
Химическая формула C₂₂H₂₄N₂O₈×HCl
Молекулярный вес, г/моль 480,90
Содержание основного вещества, % не менее 95,0
Внешний вид желтый кристаллический порошок
Специфическое вращение (α20°C/D; 0,5 %, 0,1 M HCl) -240° до -255°
pH (1 % в воде) 2-3
Потери при сушке, % не более 2
PanReac Applichem
Тетрациклин гидрохлорид, не менее 95%, BioChemica
A-2228,0025
25 г

Товар временно недоступен. Аналоги по запросу ниже.



CAS-No. 64-75-5
Химическая формула C₂₂H₂₄N₂O₈HCI
Молярный вес , г/моль 480,90
Содержание основного вещества (титр.) ,% мин. 98
α20°C/D; 1%, 0.01 M HCl -239° bis -250°
pH (1 %; H2O) 3,0
Точка плавления , °C 215 - 220
Сульфаты после золения ,% макс. 0,5
Потери при высушивании ,% 2
Условия хранения комнатная температура, защищенное от света место
neoFroxx
Тиазолиловый синий тетразолий бромид (MTT), CAS 298-93-1, 98%, для биохимии, (аналог арт. 926640.1 gm, CDH)
1334GR001
1 г
1334GR001ф
1 г
1334GR005
5 г
Товар временно недоступен. Аналог: 926640.1 gm, CDH


Синонимы: МТТ, метилтиазолилдифенил-тетразолий бромид.
CAS-No. 298-93-1
Химическая формула C₁₈H₁₆BrN₅S
Молекулярный вес, г/моль 414,33
Содержание основного вещества, % Не менее 95
Внешний вид Желтый кристаллический порошок
Длина волны, нм 239–247
neoFroxx
Тиамин гидрохлорид, CAS 67-03-8, для биохимии, (аналог арт. 241965, CDH, Индия)
1242GR100
100 г
Товар временно недоступен. Аналог: 241965, CDH, Индия.

Синонимы: тиамин гидрохлорид, аневрин гидрохлорид, витамин В1 гидрохлорид, Thiamine, Hydrochloride, Aneurine hydrochloride, Vitamin B1 hydrochloride, Thiamine hydrochloride, Thiamine chloride hydrochloride.


CAS-No. 67-03-8
Химическая формула C₁₂H₁₇ClN₄OS×HCl
Молекулярный вес, г/моль 337,23
Содержание основного вещества, % Не менее 99,0
Растворимость (20 °C в воде), г/мл Не более 1,0
Тяжелые металлы, % (свинец) Не более 0,002
Вода (по Карлу Фишеру), % Не более 5,0
PanReac Applichem
Тиамин гидрохлорид (Витамин B1 гидрохлорид), CAS 67-03-8, более 99%, BioChemica
A-0955,0050
50 г
A-0955,0250
250 г

Товар временно недоступен. Аналоги по запросу ниже.

Синонимы: тиамин гидрохлорид, аневрин гидрохлорид, витамин В1 гидрохлорид, Thiamine, Hydrochloride, Aneurine hydrochloride, Vitamin B1 hydrochloride, Thiamine hydrochloride, Thiamine chloride hydrochloride.




CAS-No. 67-03-8
Химическая формула C₁₂H₁₇CIN₄OSxHCI
Молекулярная масса, г/моль 337,23
Содержание основного вещества (титр.), % более 99
Растворимость (20 °C, H2O), г/мл 1
Вода, % 5
Свинец (Pb) 0,001
Условия хранения 2 - 8 °C

Индекс риска

R36/37/38Раздражает глаза, органы дыхания и кожу
Индекс риска (R)
36/37/38

Индекс безопасности

S22Не вдыхать пыль
S24/25Избегать попадания на кожу и в глаза
S37/39Надеть соответствующие перчатки и средства защиты глаз/лица
S26В случае попадания в глаза немедленно промыть глаза большим количеством воды и обратиться за медицинской помощью
S36Наденьте соответствующую защитную одежду
Индекс безопасности (S)
22-24/25-37/39-26-36
PanReac Applichem
Тимерозал (Мертиолят), 98%, Pharm grade, USP, BP
143886.0005ф
5 г
143886.0025ф
25 г
143886.1608
100 г
Товар временно недоступен. Аналоги по запросу ниже.


CAS-No. 54-64-8
Химическая формула C₉H₉HgNaO₂S
Молярный вес 404,81 г/моль
Содержание основного вещества 98 %
Условия хранения при комнатной температуре

Индекс риска

R26/27/28Очень токсично при вдыхании, попадании на кожу и проглатывании
R33Опасность кумулятивных эффектов
R50/53Очень токсично для водных организмов, может вызывать долгосрочные неблагоприятные изменения в водной среде
Индекс риска (R)
26/27/28-33-50/53

Индекс безопасности

S13Хранить вдали от продуктов питания, напитков и корма для животных
S28При попадании на кожу немедленно промыть большим количеством … (вещество указывает производитель)
S36Наденьте соответствующую защитную одежду
S45В случае аварии или при плохом самочувствии немедленно обратиться за медицинской помощью (по возможности предъявить этикетку материала)
S60Данный материал и его тару следует утилизировать как опасные отходы
S61Не допускать попадания в окружающую среду. Смотрите специальные инструкции/паспорт безопасности материала
Индекс безопасности (S)
13-28-36-45-60-61
142041.1611
1 л
Товар временно недоступен. Аналоги по запросу ниже.


CAS-No. 68-11-1
Химическая формула C₂H₄O₂S
Молярный вес 92,12
Содержание основного вещества, % 79-82
Плотность (20/4) 1,26-1,28
Остаток после прокаливания, % 0,01
Медь, % 0,0005
Железо, % 0,0005
Никель, % 0,0005
Свинец, % 0,0005

Индекс риска

R23/24/25Токсично при вдыхании, попадании на кожу и проглатывании
R34Вызывает ожоги
Индекс риска (R)
23/24/25-34

Индекс безопасности

S25Избегать попадания в глаза
S27Немедленно снять всю загрязненную одежду
S28При попадании на кожу немедленно промыть большим количеством … (вещество указывает производитель)
S45В случае аварии или при плохом самочувствии немедленно обратиться за медицинской помощью (по возможности предъявить этикетку материала)
Индекс безопасности (S)
25-27-28-45
neoFroxx
Тиогликолевая кислота, CAS 68-11-1, pure, (аналог арт. 030415.500 ml, CDH, Индия)
LC-5955.1
250 мл
Товар временно недоступен. Аналог: 030415.500 ml, CDH, Индия


CAS-No. 68-11-1
Химическая формула HSC₂COOH
Молекулярный вес, г/моль 92,12
Содержание основного вещества, % не менее 99,0
Внешний вид прозрачная бесцветная жидкость
Органический хлор, % не более 0,01
Сульфатированная зола, % не более 0,05
Железо % не более 0,0005
neoFroxx
Тирозин-L, CAS 60-18-4, 99-101%, pure EP, USP (pharma grade), (аналог арт. 037156.100 gm, CDH, Индия)
LC-4022.3
1 кг
Товар временно недоступен. Аналог: 037156.100 gm, CDH, Индия


Синонимы: L-2-Амино-3-(4-гидроксифенил)-пропионовая кислота, (S)-2-Амино-3-(4-гидроксифенил)пропионовая кислота, 3-(4-гидроксифенил)-L-аланин, (S)-2-Amino-3-(4-hydroxyphenyl)propionic acid, 3-(4-Hydroxyphenyl)-L-alanine.
CAS-No. 60-18-4
Химическая формула C₉H₁₁NO₃
Молекулярный вес, г/моль 181,19
Содержание основного вещества, % 99-101
Хлориды, % не более 0,02
Сульфаты, % не более 0,02
Железо, % не более 0,001
Тяжелые металлы, % не более 0,001
Потери при высушивании (105°C; 3 ч), % не более 0,3
Сульфатная зола, % не более 0,1
Бактериальные эндотоксины, I.U./g не более 20
Условия хранения комнатная температура

Индекс риска

Индекс риска (R)
36/37/38-40

Индекс безопасности

S36Наденьте соответствующую защитную одежду
S37/39Надеть соответствующие перчатки и средства защиты глаз/лица
Индекс безопасности (S)
26-36-37/39-22
PanReac Applichem
Тирозин-L, более 99%, cell culture grade
A-3401,0025ф
25 г
A-3401,0100ф
100 г
A-3401,1000
1 кг
Товар временно недоступен. Аналоги по запросу ниже.


Синонимы: L-2-Амино-3-(4-гидроксифенил)-пропионовая кислота, (S)-2-Амино-3-(4-гидроксифенил)пропионовая кислота, 3-(4-гидроксифенил)-L-аланин, (S)-2-Amino-3-(4-hydroxyphenyl)propionic acid, 3-(4-Hydroxyphenyl)-L-alanine.


CAS-No. 60-18-4
Химическая формула C₉H₁₁NO₃
Содержание основного вещества более 99%
Молекулярная масса 181,19 г/моль
Растворимость (25°C) 0,4 г/л (H2O)
Тест на пирогены соответствует
Другие амино кислоты макс. 0,5%
Аммоний макс 0,1%
Сульфаты макс. 0,02%
Хлориды макс. 0,02%
As макс 0,0001%
Fe макс. 0,001%
Pb макс. 0,001%
Условия хранения комнатная температура

Индекс риска

R36/37/38Раздражает глаза, органы дыхания и кожу
R40Ограниченная возможность канцерогенных эффектов
Индекс риска (R)
36/37/38-40

Индекс безопасности

S26В случае попадания в глаза немедленно промыть глаза большим количеством воды и обратиться за медицинской помощью
S36Наденьте соответствующую защитную одежду
S37/39Надеть соответствующие перчатки и средства защиты глаз/лица
S22Не вдыхать пыль
Индекс безопасности (S)
26-36-37/39-22
neoFroxx
Толуол, CAS 108-88-3, 99,5%, p.A., (аналог арт. 775500.2.5 lit, CDH, Индия)
LC-4256.2
2,5 л
Товар временно недоступен. Аналог: 775500.2.5 lit, CDH, Индия


Синоним: метилбензол, фенилметан.
CAS-No. 108-88-3
Химическая формула C₆H₅CH₃
Молекулярный вес 92,14 г/моль
Внешний вид бесцветная прозрачная жидкость
Содержание основного вещества более 99,5 %
Вода, % не более 0,03
Точка кипения, °C 110,6
Точка плавления, °C - 95
Кислотность, % не более 0,001
Щелочность, % не более 0,001
APHA цвет 10
Бензол, % не более 0,05
Тиофен, % не более 0,0002
Соединения серы, % не более 0,003
Остаток после выпаривания, % не более 0,001
Свинец, % не более 0,00001
Кадмий, % не более 0,000005
Кальций, % не более 0,00005
Хром, % не более 0,000005
Железо, % не более 0,00001
Медь, % не более 0,000002
Магний, % не более 0,00001
Марганец, % не более 0,000002
Никель, % не более 0,000002
Цинк, % не более 0,00001

Индекс риска

R11Очень огнеопасно
R38Вызывает раздражение кожи
R48/20Вредно: может нанести серьёзный вред здоровью при длительном вдыхании
R63Возможен риск причинения вреда эмбриону
R65Опасно: может причинить вред легким при проглатывании
R67Пары могут вызвать сонливость и головокружение
Индекс риска (R)
11-38-48/20-63-65-67

Символы опасности

Символы опасности
огнеопасно, опасность, опасно для здоровья
Merck (Millipore, Sigma-Aldrich, Supelco)
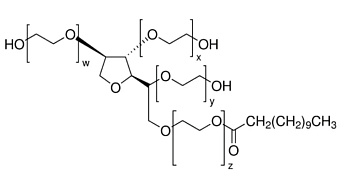
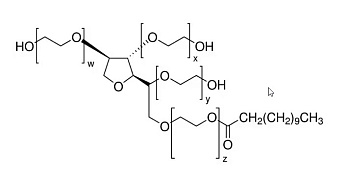
Трегалоза-D-(+)- дигидрат

Товар временно недоступен. Аналоги по запросу ниже.



Синонимы: α,α-трегалоза, α-D-глюкопиранозил-α-D-глюкопиранозид.

CAS №

6138-23-4

Химическая формула

C12H22O11 · 2H2O

Молекулярный вес

378,33

Содержание основного вещества, %

не менее 99

Внешний вид

порошок

Растворимость

H2O: 50 мг/мл

Биологический ресурс

сахаромицеты церевисиае

Индекс риска

R22Опасно при проглатывании
R41Риск серьёзного повреждения глаз
R52/53Опасно для водных организмов, может вызывать долгосрочные неблагоприятные изменения в водной среде
Индекс риска (R)
22-41-52/53

Индекс безопасности

S26В случае попадания в глаза немедленно промыть глаза большим количеством воды и обратиться за медицинской помощью
S39Используйте средства защиты глаз/лица
S61Не допускать попадания в окружающую среду. Смотрите специальные инструкции/паспорт безопасности материала
Индекс безопасности (S)
26-39-61
neoFroxx
Треонин-L, CAS 72-19-5, 98,5 – 101,5 %, pure EP, USP (pharma grade), (аналог арт. 660505, CDH, Индия)
LC-4843.4
100 г
LC-4843.2
250 г
LC-4843.5
500 г
LC-4843.3
1 кг
Товар временно недоступен. Аналог: 660505, CDH, Индия.


Синонимы: L-2-Амино-3-гидроксибутановая кислота, α-амино-β-гидроксимасляная кислота, (2S,3R)-2-амино-3-гидроксимасляная кислота, (2S,3R)-2-Amino-3-hydroxybutyric acid.


CAS-No. 72-19-5
Химическая формула C4H9NO3
Молекулярный вес, г/моль 119,12
Содержание основного вещества, % не менее 98,5 – 101,5
Идентификация тест пройден
Растворимость прозрачный и бесцветный раствор
pH (5 % раствор в воде) (USP) 5,0-6,5
Специфическое вращение, ° от -26,7, 0 до -29,1
Потери при сушке, (при 105 °C), % не более 0,2
Остаток при воспламенении, % не более 0,4
Хлориды, % не более 0,05
Сульфаты, % не более 0,03
Железо, % не более 0,003
Свинец, % не более 0,001
PanReac Applichem
Треонин-L, 99-101%, Ph. Eur., USP
A-1419,0100ф
100 г
A-1419,1000
1 кг
Товар временно недоступен. Аналоги по запросу ниже.


Синонимы: L-2-Амино-3-гидроксибутановая кислота, α-амино-β-гидроксимасляная кислота, (2S,3R)-2-амино-3-гидроксимасляная кислота, (2S,3R)-2-Amino-3-hydroxybutyric acid.


CAS-No. 72-19-5
Химическая формула C₄H₉NO₃
Молекулярный вес 119,12 г/моль
Внешний вид порошок
Содержание основного вещества 99-101%
Растворимость при 25 °С 90 г/л
pH 2,5% раствора, вода 5-6,5
pH 5% раствора, вода 5-6,5
Тяжелые металлы (свинец) Не более 0,001%
Потери при сушке (3 ч при 105 °С) Не более 0,2%
Аммоний Не более 0,02%
Хлориды Не более 0,02%
Сульфаты Не более 0,03%
Железо Не более 0,001%
neoFroxx
Трет-бутанол AR (трет-бутиловый спирт), 99,5%, CAS 75-65-0, (аналог арт. 470535.500 ml, CDH, Индия)
LC-5926.1
500 мл
Товар временно недоступен. Аналог: 470535.500 ml, CDH, Индия


Синонимы: трет-бутиловый спирт, 2-метил-2-пропанол, триметилкарбинол.
CAS-No. 75-65-0
Химическая формула (CH₃)₃COH
Молекулярный вес, г/моль 74,12
Содержание основного вещества, % Не менее 99,5
Максимальная кислотность, мэкв/г Не более 0,0005
Щелочность, мэкв/г Не более 0,0002
Алюминий, % Не более 0,00005
Бор, % Не более 0,000002
Барий, % Не более 0,00001
Кальций, % Не более 0,00005
Медь, % Не более 0,000002
Никель, % Не более 0,000002
Цинк, % Не более 0,00001
Вода, % Не более 0,1
neoFroxx
Триптофан-L, CAS 73-22-3, для биохимии, 99,0%, (аналог арт. TC1121.100 gm, CDH, Индия)
1860GR100
100 г
Товар временно недоступен. Аналог: TC1121.100 gm, CDH, Индия.


Синонимы: L-2-Амино-3-(индол-3)-пропионовая кислота, (S)-2-амино-3-(3-индолил)пропионовая кислота, L-α-амино-3-индолпропионовая кислота, (S)-2-Amino-3-(3-indolyl)propionic acid, L-α-Amino-3-indolepropionic acid.


CAS-No. 73-22-3
Химическая формула C₁₁H₁₂N₂O₂
Молекулярный вес, г/моль 204,23
Содержание основного вещества, % не менее 99,0
Α 20°C/сутки; 1 % в воде -32,8° - -30,0°
Тяжелые металлы (свинец) не более 0,001
Потери при сушке, % не более 0,2
Аммоний, % не более 0,1
Другие аминокислоты, % не более 0,5
Хлориды, % не более 0,02
Сульфаты, % не более 0,02
pH 5,5-6,5
neoFroxx
Триптофан-L, CAS 73-22-3, pure EP, USP (pharma grade), (аналог арт. TC1121M.100 gm, CDH, Индия)
LC-4089.2
25 г
Товар временно недоступен. Аналог: TC1121M.100 gm, CDH, Индия.


Синонимы: L-2-Амино-3-(индол-3)-пропионовая кислота, (S)-2-амино-3-(3-индолил)пропионовая кислота, L-α-амино-3-индолпропионовая кислота, (S)-2-Amino-3-(3-indolyl)propionic acid, L-α-Amino-3-indolepropionic acid.


CAS-No. 73-22-3
Химическая формула C₁₂H₁₂N₂O₂
Молекуляный вес, г/моль 204,23
Специфическое вращение α 20°C/сутки; 1 % в воде -33,0° to -30,0°
Специфическое вращение α 25°C/сутки; 1 % в воде -32,8° to -29,4°
pH (1% в воде; 20°C) 5,5 - 7,0
Тяжелые металлы (свинец), % не более 0,001
Сульфатированная зола, % Не более 0,1
Потери при сушке (3 ч; 105°C), % не более 0,3
Примесь А + другие родственные вещества. тест пройден
Нингидрин, % не более 0,5
Аммоний, % не более 0,02
Хлориды, % не более 0,02
Сульфаты, % не более 0,03
Железо, % не более 0,002
PanReac Applichem
Триптофан-L, pure, Ph. Eur., USP
A-1645,0025
25 г
A-1645,0100
100 г
A-1645,0500
500 г
Товар временно недоступен. Аналоги по запросу ниже.
Ваш заказ будет обработан
в ближайшее время.
Мы пришлем уведомление, как только все будет готово. Спасибо!