Top.Mail.Ru
krasnodar@dia-m.ru 8 (800) 234-05-08
8-863-303-55-00
Ваш регион Москва?

Вернуться назад

Агар-агар бактериологический европейский тип, Импорт

Артикул Цена, руб. Наличие на складе Количество
3440.0500 500 г 12 076 Под заказ
Артикул Цена, руб. Наличие на складе Количество
3440.5000 5 кг 104 873 Под заказ
Артикул Цена, руб. Наличие на складе Количество
3440.25000 25 кг По запросу Под заказ

Описание

Оплата и доставка

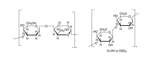
Агар изготавливается из нескольких видов красной водоросли, главным образом из Gelidium, Gracilaria и Pterocladia. Агар бактериологический европейский тип является желирующим агентом, применяемый в приготовлении микробиологических сред. Важной особенностью этого агара является отсутствие ингибиторов, которые могли бы повлиять на рост микроорганизмов. У агара бактериологического европейского типа отличная прозрачность и очень хорошая воспроизводимость. Каждая партия тестируется по биологическим показателям, чтобы обеспечить отсутствие ингибиторов и хороший рост микроорганизмов. Европейский тип агара обладает большей силой геля, чем американский тип. Используется в концентрации 1,2-1,6%.
Раскрыть описание

Доставка

Доставка осуществляется по всей России и странам СНГ. Возможен самовывоз со склада по адресу Московская область, г. Мытищи, 7-й Ленинский переулок, д.13. Доставка по Москве и Московской области осуществляется бесплатно.

Цена товара указана со склада в Москве и не включает расходы на доставку в другие города.

Вы можете выбрать способ доставки в личном кабинете, чтобы он автоматически указывался при оформлении всех последующих заказов. При выборе варианта «Транспортная компания по выбору клиента» укажите в комментариях транспортную компанию, с которой вы предпочитаете работать.

Точная стоимость доставки рассчитывается менеджером при подтверждении заказа в зависимости от весообъемных характеристик и дальности. Товары, требующие особого температурного режима, доставляются с соблюдением требуемых условий. Если в заказе есть прекурсоры, необходимо оформить официальное письмо об отпуске прекурсоров. (образец письма об отпуске прекурсоров)


Оплата

Компания Диаэм работает с юридическими и физическими лицами. После оформления заказа продавец-консультант сформирует счет и направит его вам по электронной почте и на страницу заказа в Личном кабинете на сайте. Вы также можете сами сформировать счет из Корзины, авторизовавшись на сайте. Счет оплачивается через банк. Вы можете оплатить товар в кассе Диаэм или любом отделении банка.

Для получения товара необходимо предоставление доверенности организации, а для получения товара при оплате физическим лицом необходим паспорт.



Внешний вид кремовый порошок
Влажность, % не более 10
Прочность геля 1,5%, г/см² 600-750
Температура плавления, °C 85 ± 5
Температура гелеобразования, °C 35 ± 3
Прозрачность, NTU не более 12
Поглощение, 430 нм не более 0,2
Размер частиц, сито 60, % не менее 95
Зола, % не более 4,5
рН (1,5 % после автоклавирования) 6,5±0,4
рН (1,5 % перед автоклавированием) 7,0±0,4

Раскрыть анкету для отправки запроса

С этим товаром покупают
5 266 руб.
По запросу
9 080 руб.
542 руб.
3 450 руб.
3315
В наличии
3315уп
Нет в наличии
4 800 руб.
188 руб.
3316.0050
Нет в наличии
3316.0250
Нет в наличии
5 163 руб.
16 600 руб.
3436.1000
В наличии
3436.25000
В наличии
3436.5000
В наличии
74 руб.
По запросу
400 руб.
24 324(300 283)
Нет в наличии
24 328(300 287)
Нет в наличии
24 325(300 284)
В наличии
24 326(300 285)
В наличии
24 327(300 286)
В наличии
392 руб.
416 руб.
344 руб.
400 руб.
350 руб.
M-511
Нет в наличии
M-510шт
Нет в наличии
M-512шт
Нет в наличии
M-513
Нет в наличии
По запросу
По запросу
По запросу
По запросу
Ваш заказ будет обработан
в ближайшее время.
Мы пришлем уведомление, как только все будет готово. Спасибо!