Top.Mail.Ru
krasnodar@dia-m.ru 8 (800) 234-05-08
8-863-303-55-00
Ваш регион Москва?

13.10.22. Реактивы и оборудование для проведения гель-электрофореза НК

27.04.2022

Гель-электрофорез до сих пор остается одним из основных методов в молекулярной биологии для идентификации, количественной оценки и очистки нуклеиновых кислот. Благодаря своей простоте, универсальности и скорости, способ широко используется для разделения и анализа нуклеиновых кислот.

На нашем вебинаре мы расскажем какие реактивы сейчас доступны для заказа для каждого из этапов гель-электорофореза.

Видеозапись вебинара

Полная запись вебинара 13.10.22. "Реактивы и оборудование для проведения гель-электрофореза НК"

Гель-электрофорез до сих пор остается одним из основных методов в молекулярной биологии для идентификации, количественной оценки и очистки нуклеиновых кислот. Благодаря своей простоте, универсальности и скорости, способ широко используется для разделения и анализа нуклеиновых кислот.

Доклад "Агарозы, реагенты для гель-электрофореза, флуоресцентные красители, маркеры длин ДНК/РНК, буферы российского производства, камеры для проведения электрофореза"

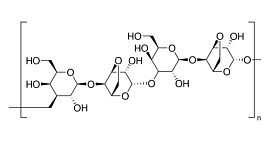
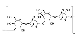
Агароза и полиакриламид являются двумя наиболее распространенными гелевыми матрицами, используемыми при электрофоретическом разделении нуклеиновых кислот. Доступны ли к заказу привычные реактивы или нужно искать что-то новое?

Доклад "Системы визуализации результатов гель-электрофореза ДНК/РНК и белков. Уникальные технологии. Простота в использовании"

Наилучшая чувствительность и скорость, а также самые низкие пределы обнаружения для анализа ДНК, РНК и белков.

11.00-11.20

Агарозы, реагенты для гель-электрофореза, флуоресцентные красители, маркеры длин ДНК/РНК, буферы российского производства, камеры для проведения электрофореза

  • Агароза и полиакриламид являются двумя наиболее распространенными гелевыми матрицами, используемыми при электрофоретическом разделении нуклеиновых кислот. Доступны ли к заказу привычные реактивы или нужно искать что-то новое?
  • Буферы для электрофореза российского производства – отличная альтернатива зарубежным аналогам.
  • Флуоресцентные красители для визуализации результатов гель-электрофореза –только бромистый этидий или есть безопасные аналоги?
  • Камеры для проведения электрофореза – продукция Bio-Rad, Thermo или есть другие варианты?

Светлана Олейникова, Диаэм

Агарозы, реагенты для гель-электрофореза, флуоресцентные красители, маркеры длин ДНК/РНК, буферы российского производства, камеры для проведения электрофореза.

11.20-11.40

Системы визуализации результатов гель-электрофореза ДНК/РНК и белков. Уникальные технологии. Простота в использовании

  • Наилучшая чувствительность и скорость, а также самые низкие пределы обнаружения для анализа ДНК, РНК и белков.
  • Оптические и технические инновации систем, идеальных для публикации, количественной оценки и визуализации.
  • Получение изображения одним щелчком мыши.

Анастасия Жирякова, Диаэм


Пока нет данных. Перейти в каталог
Раскрыть список товаров
1928.0025
1928.0025
25 г
По запросу
По запросу
1928.0100
100 г
По запросу
По запросу
1928.0500
500 г
52 698, руб.
540,= EUR
1928.1000
1 кг
По запросу
По запросу


Содержание ДНКаз/ РНКаз/протеаз не обнаружено
Электроэндоосмос, ЕЕО 0,23 - 0,26
Точка плавления 1,5 % геля, °C 88 ± 1,5
Температура гелеобразования 1,5 % геля, °C 36 ± 1,5
Влажность, % не более 7
Зола, % не более 1,0
Сульфаты, % 0,2
Прочность геля 1 %, г/см² не менее 750
Прозрачность 1,5%, NTU не более 4
Условия хранения при комнатной температуре

Индекс риска

R10Огнеопасно
R36/37/38Раздражает глаза, органы дыхания и кожу
Индекс риска (R)
10-36/37/38

Индекс безопасности

S16Хранить вдали от источников возгорания — Не курить
S26В случае попадания в глаза немедленно промыть глаза большим количеством воды и обратиться за медицинской помощью
S36Наденьте соответствующую защитную одежду
Индекс безопасности (S)
16-26-36
  • Агароза, высокий EEO, D1
1929.0025
1929.0025
25 г
3 510, руб.
36,= EUR
1929.0100
100 г
транспортировка +4°C
13 990, руб.
143,= EUR
1929.0500
500 г
53 110, руб.
545,= EUR
1929.1000
1 кг
90 272, руб.
926,= EUR

Для разделения фрагментов НК более 1000 п.н.; для аналитического и препаративного электрофореза НК, блоттинга, радиальной иммунодиффузии


Скачать:
Агароза D1, техническая инструкция, англ., 1 стр., 95 kB


См. также:
Таблица выбора агарозы в зависимости от размеров целевых фрагментов.



Содержание ДНКаз/ РНКаз/протеаз не обнаружено
Электроэндоосмос ЕЕО 0,05 - 0,13
Точка плавления 1,5 % геля, °C 85 ± 5
Температура гелеобразования 1,5 % геля, °C 35 ± 3
Влажность, % не более 0,4
Сульфаты, % 0,1
Прочность геля 1 %, г/см² не менее 1200
Прозрачность 1,5%, NTU не более 3
Условия хранения при комнатной температуре

Индекс риска

R10Огнеопасно
R36/37/38Раздражает глаза, органы дыхания и кожу
Индекс риска (R)
10-36/37/38

Индекс безопасности

S16Хранить вдали от источников возгорания — Не курить
S26В случае попадания в глаза немедленно промыть глаза большим количеством воды и обратиться за медицинской помощью
S36Наденьте соответствующую защитную одежду
Индекс безопасности (S)
16-26-36
  • Агароза, низкий EEO, D1
1932.0025
1932.0025
25 г
4 388, руб.
45,= EUR
1932.0100
100 г
По запросу
По запросу
1932.0500
500 г
54 907, руб.
563,= EUR
1932.1000
1 кг
По запросу
По запросу
Для разделения фрагментов НК более 1000 п.н.; для аналитического и препаративного электрофореза НК, блоттинга. Genetic Quality Tested – тестирована на проведение препаративного электрофореза и восстановление ДНК без повреждения структуры и свойств.


Скачать:
Агароза D1, техническая инструкция, англ., 1 стр., 95 kB



См. также:
Таблица выбора агарозы в зависимости от размеров целевых фрагментов.




Содержание ДНКаз/ РНКаз/протеаз не обнаружено
Электроэндоосмос, ЕЕО 0,05 - 0,13
Точка плавления 1,5 % геля, °C 88 ± 1,5
Температура гелеобразования 1,5 % геля, °C 36 ± 1,5
Влажность, % не более 7
Зола, % не более 0,4
Сульфаты, % 0,1
Прочность геля 1 %, г/см² не менее 1200
Прозрачность 1,5%, NTU не более 3
Условия хранения при комнатной температуре

Индекс риска

R10Огнеопасно
R36/37/38Раздражает глаза, органы дыхания и кожу
Индекс риска (R)
10-36/37/38

Индекс безопасности

S16Хранить вдали от источников возгорания — Не курить
S26В случае попадания в глаза немедленно промыть глаза большим количеством воды и обратиться за медицинской помощью
S36Наденьте соответствующую защитную одежду
Индекс безопасности (S)
16-26-36
  • Агароза, низкий EEO, D1, GQT
1950.0025
1950.0025
25 г
6 045, руб.
62,= EUR
1950.0100
100 г
21 939, руб.
225,= EUR
1950.0250
250 г
38 125, руб.
391,= EUR
1950.0500
500 г
66 305, руб.
680,= EUR

Для разделения фрагментов НК более 1000 п.н.; для электрофореза НК , блоттинга, пульс-гель электрофореза. Повышенная прочность геля позволяет готовить гель низкой концентрации (0,3%) для разделения высокомолекулярных НК, а также больших частиц, как вирусы и рибосомы. Высокая электрофоретическая подвижность; широкий диапазон концентраций геля.

Скачать:
Агароза D5, техническая инструкция, англ., 1 стр., 137 kB


См. также:
Таблица выбора агарозы в зависимости от размеров целевых фрагментов.




Содержание ДНКаз/ РНКаз/протеаз не обнаружено
Электроэндоосмос, ЕЕО не более 0,12
Точка плавления 1,5 % геля, °C 88 ± 1,5
Температура гелеобразования 1,5 % геля, °C 36 ± 1,5
Влажность, % не более 7
Зола, % не более 0,25
Сульфаты, % 0,12
Прочность геля 1 %, г/см² не менее 1800
Прозрачность 1,5%, NTU не более 4
Условия хранения при комнатной температуре

Индекс риска

R10Огнеопасно
R36/37/38Раздражает глаза, органы дыхания и кожу
Индекс риска (R)
10-36/37/38

Индекс безопасности

S16Хранить вдали от источников возгорания — Не курить
S26В случае попадания в глаза немедленно промыть глаза большим количеством воды и обратиться за медицинской помощью
S36Наденьте соответствующую защитную одежду
Индекс безопасности (S)
16-26-36
  • Агароза, низкий EEO, D5
1927.0025
1927.0025
25 г
3 120, руб.
32,= EUR
1927.0100
100 г
10 836, руб.
111,= EUR
1927.0500
500 г
40 953, руб.
420,= EUR
1927.1000
1 кг
69 821, руб.
716,= EUR
Для разделения фрагментов НК от 250 п.н. до 23 тыс.п.н.; для аналитического и препаративного электрофореза НК, разделения плазмид для клонирования, блоттинга, радиальной иммунодиффузии. Оптимальная концентрация геля 0,75-2,0 %.

Скачать:
Агароза E, техническая инструкция, англ., 1 стр., 442 kB

См. также:
Таблица выбора агарозы в зависимости от размеров целевых фрагментов.


Содержание ДНКаз/ РНКаз/протеаз не обнаружено
Точка плавления 1,5 % геля, °C 88 ± 1,5
Температура гелеобразования 1,5 % геля, °C 36 ± 1,5
Влажность, % не более 7
Зола, % не более 0,45
Сульфаты, % 0,1
Прочность геля 1 %, г/см² не менее 1000
Прозрачность 1,5%, NTU не более 4
Условия хранения при комнатной температуре

Индекс риска

R10Огнеопасно
R36/37/38Раздражает глаза, органы дыхания и кожу
Индекс риска (R)
10-36/37/38

Индекс безопасности

S16Хранить вдали от источников возгорания — Не курить
S26В случае попадания в глаза немедленно промыть глаза большим количеством воды и обратиться за медицинской помощью
S36Наденьте соответствующую защитную одежду
Индекс безопасности (S)
16-26-36
  • Агароза, низкий EEO, E, для рутинного электрофореза, Импорт
1951.0100
1951.0100
100 г
По запросу
По запросу
1951.0250
250 г
По запросу
По запросу
1951.0500
500 г
По запросу
По запросу
Для разделения фрагментов НК более 1000 п.н.; для электрофореза НК , блоттинга, ДНК-фингерпринтирования. Не размывается, фрагменты при разделении четкие; нет различия по качеству между партиями.


Скачать:
Агарозы D2 и FP DNA, техническая инструкция, англ., 1 стр., 69 kB

См. также:
Таблица выбора агарозы в зависимости от размеров целевых фрагментов.



Содержание ДНКаз/ РНКаз/протеаз не обнаружено
Электроэндоосмос, ЕЕО не более 0,13
Точка плавления 1,5 % геля, °C 88 ± 1,5
Температура гелеобразования 1,5 % геля, °C 36 ± 1,5
Влажность, % не более 7
Зола, % не более 0,4
Сульфаты, % 0,14
Прочность геля 1 %, г/см² не менее 1400
Условия хранения при комнатной температуре

Индекс риска

R10Огнеопасно
R36/37/38Раздражает глаза, органы дыхания и кожу
Индекс риска (R)
10-36/37/38

Индекс безопасности

S16Хранить вдали от источников возгорания — Не курить
S26В случае попадания в глаза немедленно промыть глаза большим количеством воды и обратиться за медицинской помощью
S36Наденьте соответствующую защитную одежду
Индекс безопасности (S)
16-26-36
  • Агароза, низкий EEO, E
1924.0025
1924.0025
25 г
10 043, руб.
103,= EUR
1924.0100
100 г
53 629, руб.
550,= EUR
1924.0250
250 г
114 233, руб.
1 172,= EUR

Товар временно недоступен. Аналог 911200, CDH, Индия.



Для разделения фрагментов НК и ПЦР продукта от 200 до 800 п.н.; для аналитического и препаративного электрофореза НК. Genetic Quality Tested – подходит для обработки агаразой, что позволяет легко восстанавливать небольшие фрагменты ДНК для клонирования и энзиматического расщепления; подходит для энзиматической обработки НК (лигирования, расщепления) в геле без предварительной экстракции.

Скачать:
Агароза LM Sieve и Novagel GQT, техническая инструкция, англ., 1 стр., 107 kB

См. также:
Таблица выбора агарозы в зависимости от размеров целевых фрагментов.



Содержание ДНКаз/ РНКаз/протеаз не обнаружено
Электроэндоосмос, ЕЕО не более 0,1
Точка плавления 1,5 % геля, °C 65
Температура гелеобразования 1,5 % геля, °C 35
Влажность, % не более 5
Зола, % не более 0,3
Сульфаты, % 0,12
Прочность геля 4 %, г/см² не менее 1000
Условия хранения при комнатной температуре

Индекс риска

R10Огнеопасно
R36/37/38Раздражает глаза, органы дыхания и кожу
Индекс риска (R)
10-36/37/38

Индекс безопасности

S16Хранить вдали от источников возгорания — Не курить
S26В случае попадания в глаза немедленно промыть глаза большим количеством воды и обратиться за медицинской помощью
S36Наденьте соответствующую защитную одежду
Индекс безопасности (S)
16-26-36
  • Агароза, низкий EEO, LM Sieve
1931.0025
1931.0025
25 г
11 213, руб.
115,= EUR
1931.0100
100 г
44 585, руб.
457,= EUR
1931.0500
500 г
167 485, руб.
1 718,= EUR
Для разделения фрагментов НК менее 1200 п.н., для электрофореза НК и ПЦР-продукта, блоттинга. По четкости разделения фрагментов аналогичен ПААГ; гель с повышенной прозрачностью, ломкость минимизирована.

См. также:
Таблица выбора агарозы в зависимости от размеров целевых фрагментов.



Содержание ДНКаз/ РНКаз/протеаз не обнаружено
Электроэндоосмос, ЕЕО не более 0,12
Точка плавления 1,5 % геля, °C 80
Температура гелеобразования 1,5 % геля, °C 35,5
Влажность, % не более 7
Зола, % не более 0,35
Сульфаты, % 0,11
Прочность геля 3%, г/см² не менее 1500
Прозрачность 1,5 %, NTU не более 5
Условия хранения при комнатной температуре

Индекс риска

R10Огнеопасно
R36/37/38Раздражает глаза, органы дыхания и кожу
Индекс риска (R)
10-36/37/38

Индекс безопасности

S16Хранить вдали от источников возгорания — Не курить
S26В случае попадания в глаза немедленно промыть глаза большим количеством воды и обратиться за медицинской помощью
S36Наденьте соответствующую защитную одежду
Индекс безопасности (S)
16-26-36
  • Агароза, низкий EEO, MS-8
1952.0025
1952.0025
25 г
По запросу
По запросу
1952.0050ДУ
50 г
По запросу
По запросу
1952.0100
100 г
По запросу
По запросу
1952.0250
250 г
По запросу
По запросу
Для разделения фрагментов НК и ПЦР продукта от 50 до 1000 п.н.; для аналитического и препаративного электрофореза НК; оптимальная концентрация 3-6%. Genetic Quality Tested – подходит для обработки агаразой, что позволяет легко восстанавливать небольшие фрагменты ДНК для клонирования и энзиматического расщепления; подходит для энзиматической обработки НК (лигирования, расщепления) в геле без предварительной экстракции.


Скачать:
Агароза LM Sieve и Novagel GQT, техническая инструкция, англ., 1 стр., 107 kB


См. также:
Таблица выбора агарозы в зависимости от размеров целевых фрагментов.



Содержание ДНКаз/ РНКаз/протеаз не обнаружено
Электроэндоосмос, ЕЕО не более 0,13
Точка плавления 1,5 % геля, °C 65
Температура гелеобразования 1,5 % геля, °C 35
Влажность, % не более 7
Зола, % не более 0,45
Сульфаты, % 0,12
Прочность геля 4 %, г/см² не менее 800
Прозрачность 4 %, NTU не более 6
Условия хранения при комнатной температуре

Индекс риска

R10Огнеопасно
R36/37/38Раздражает глаза, органы дыхания и кожу
Индекс риска (R)
10-36/37/38

Индекс безопасности

S16Хранить вдали от источников возгорания — Не курить
S26В случае попадания в глаза немедленно промыть глаза большим количеством воды и обратиться за медицинской помощью
S36Наденьте соответствующую защитную одежду
Индекс безопасности (S)
16-26-36
  • Агароза, низкий EEO, Novagel, легкоплавкая, Genetic Quality Tested, Импорт
1948.0025
1948.0025
25 г
3 900, руб.
40,= EUR
1948.0100
100 г
По запросу
По запросу
1948.0500
500 г
52 556, руб.
539,= EUR
1948.1000
1 кг
По запросу
По запросу
Для разделения фрагментов НК более 1000 п.н.; для электрофореза НК и белкового электрофореза.

Скачать:
Агароза D1, техническая инструкция, англ., 1 стр., 95 kB


См. также:
Таблица выбора агарозы в зависимости от размеров целевых фрагментов.




Содержание ДНКаз/ РНКаз/протеаз не обнаружено
Электроэндоосмос, ЕЕО 0,16 - 0,19
Точка плавления 1,5 % геля, °C 88 ± 1,5
Температура гелеобразования 1,5 % геля, °C 36 ± 1,5
Влажность, % не более 7
Зола, % не более 0,5
Сульфаты, % 0,14
Прочность геля 1 %, г/см² не менее 1000
Прозрачность 1,5%, NTU не более 4
Условия хранения при комнатной температуре

Индекс риска

R10Огнеопасно
R36/37/38Раздражает глаза, органы дыхания и кожу
Индекс риска (R)
10-36/37/38

Индекс безопасности

S16Хранить вдали от источников возгорания — Не курить
S26В случае попадания в глаза немедленно промыть глаза большим количеством воды и обратиться за медицинской помощью
S36Наденьте соответствующую защитную одежду
Индекс безопасности (S)
16-26-36
  • Агароза, средний EEO, D1
1949.0025
1949.0025
25 г
По запросу
По запросу
1949.0100
100 г
17 382, руб.
178,= EUR
1949.0250
250 г
По запросу
По запросу
1949.0500
500 г
По запросу
По запросу
1949.1000
1 кг
По запросу
По запросу
Для разделения фрагментов НК более 1000 п.н.; для электрофореза НК и белкового электрофореза. Повышенная температура гелеобразования придает гелю большую устойчивость.


Скачать:
Агарозы D2 и FP DNA, техническая инструкция, англ., 1 стр., 69 kB


См. также:
Таблица выбора агарозы в зависимости от размеров целевых фрагментов.




Содержание ДНКаз/ РНКаз/протеаз не обнаружено
Электроэндоосмос, ЕЕО не более 0,14
Точка плавления 1,5 % геля, °C 87 ± 1,5
Температура гелеобразования 1,5 % геля, °C 42 ± 1,5
Зола, % не более 0,4
Влажность, % не более 8
Сульфаты, % 0,2
Прочность геля 1 %, г/см² не менее 900
Прозрачность 1,5%, NTU не более 3
Условия хранения при комнатной температуре

Индекс риска

R10Огнеопасно
R36/37/38Раздражает глаза, органы дыхания и кожу
Индекс риска (R)
10-36/37/38

Индекс безопасности

S16Хранить вдали от источников возгорания — Не курить
S26В случае попадания в глаза немедленно промыть глаза большим количеством воды и обратиться за медицинской помощью
S36Наденьте соответствующую защитную одежду
Индекс безопасности (S)
16-26-36
  • Агароза, низкий EEО, D2, повышенная температура гелеобразования, имп., Импорт
1930.0250
250 мкг
транспортировка -20°C
9 342, руб.
9 342, руб. RUB

Особенности ДНК-маркера 1000/10C

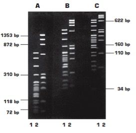
  • Маркер молекулярного веса ДНК, содержит 10 фрагментов от 100 п.н. до 1000 п.н.;
  • фрагменты: 100, 200, 300, 400, 500, 600, 700, 800, 900, 1000;
  • имеет эталонные полосы (повышенной концентрации) при 500 п.н., что облегчает идентификацию в геле;
  • необходимо смешать с буфером для нанесения;
  • условия хранения — -20 °C.

Индекс риска

R10Огнеопасно
R36/37/38Раздражает глаза, органы дыхания и кожу
Индекс риска (R)
10-36/37/38

Индекс безопасности

S16Хранить вдали от источников возгорания — Не курить
S26В случае попадания в глаза немедленно промыть глаза большим количеством воды и обратиться за медицинской помощью
S36Наденьте соответствующую защитную одежду
Индекс безопасности (S)
16-26-36
  • ДНК-маркер 1000/10C, 10 фрагментов от 100 до 1000 п.н. 500 (2х); концентрат 0,5 мг/мл, diaGene
1906.0250
250 мкг
транспортировка -20°C
9 342, руб.
9 342, руб. RUB

Особенности ДНК-маркера 1000/10C

  • Маркер молекулярного веса ДНК 1000/10C содержит 10 фрагментов от 100 п.н. до 1000 п.н.;
  • фрагменты: 100, 200, 300, 400, 500, 600, 700, 800, 900, 1000;
  • имеет эталонные полосы (повышенной концентрации) при 400 п.н., что облегчает идентификацию в геле;
  • перед использованием необходимо смешать с буфером для нанесения; условия хранения — -20 °C.

Индекс риска

R10Огнеопасно
R36/37/38Раздражает глаза, органы дыхания и кожу
Индекс риска (R)
10-36/37/38

Индекс безопасности

S16Хранить вдали от источников возгорания — Не курить
S26В случае попадания в глаза немедленно промыть глаза большим количеством воды и обратиться за медицинской помощью
S36Наденьте соответствующую защитную одежду
Индекс безопасности (S)
16-26-36
  • ДНК-маркер 1000/10C, 10 фрагментов от 100 до 1000 п.н. 400(2х); концентрат 0,5 мг/мл
1911.0250
250 мкг
транспортировка -20°C
9 342, руб.
9 342, руб. RUB

Особенности ДНК-маркера 1000/10R

  • Маркер молекулярного веса ДНК 1000/10R содержит 10 фрагментов от 100 п.н. до 1000 п.н.;
  • фрагменты: 50, 200, 300, 400, 500, 600, 700, 800, 900, 1000;
  • имеет эталонные полосы (повышенной концентрации) при 500 п.н., что облегчает идентификацию в геле;
  • условия хранения — -20 °C.

Индекс риска

R10Огнеопасно
R36/37/38Раздражает глаза, органы дыхания и кожу
Индекс риска (R)
10-36/37/38

Индекс безопасности

S16Хранить вдали от источников возгорания — Не курить
S26В случае попадания в глаза немедленно промыть глаза большим количеством воды и обратиться за медицинской помощью
S36Наденьте соответствующую защитную одежду
Индекс безопасности (S)
16-26-36
  • ДНК-маркер 1000/10R, 10 фрагментов от 100 до 1000 п.н. 500 (2х); готовый к применению, 0,1 мг/мл
1905.0250
250 мкг
транспортировка -20°C
9 342, руб.
9 342, руб. RUB

Особенности ДНК-маркера 10000/13C

  • Маркер молекулярного веса ДНК, содержит 13 фрагментов от 250 п.н. до 10000 п.н.;
  • фрагменты: 250, 500, 750, 1000, 1500, 2000, 2500, 3000, 4000, 5000, 6000, 8000, 10000;
  • имеет эталонные полосы (повышенной концентрации) при 1000 и 3000 п.н., что облегчает идентификацию в геле;
  • необходимо смешать с буфером для нанесения;
  • условия хранения — -20 °C.

Индекс риска

R10Огнеопасно
R36/37/38Раздражает глаза, органы дыхания и кожу
Индекс риска (R)
10-36/37/38

Индекс безопасности

S16Хранить вдали от источников возгорания — Не курить
S26В случае попадания в глаза немедленно промыть глаза большим количеством воды и обратиться за медицинской помощью
S36Наденьте соответствующую защитную одежду
Индекс безопасности (S)
16-26-36
  • ДНК-маркер 10000/13C, 13 фрагментов от 250 до 10000 п.н.; концентрат 0,5 мг/мл, diaGene
1907.0250
250 мкг
хранение -20°C
8 201, руб.
8 201, руб. RUB

Маркер ДНК (DNA marker) — это фрагменты ДНК, которые используются в генетике для оценки размеров фрагментов ДНК в ходе электрофореза. Маркеры ДНК представляют собой специально подобранные фрагменты ДНК различных известных длин, которые добавляются к образцам ДНК перед проведением электрофореза. После окончания электрофореза маркеры ДНК помогают оценить размеры фрагментов ДНК в образцах путем сравнения расстояний, которые пройдены фрагментами маркера и образцами в геле.

Харктеристики ДНК-маркера 3000/8С

  • Маркер ДНК до 250 п.н., позволяет оценить длину и количество дцДНК в диапазоне 250-3000 п.н. в агарозном геле;
  • длины фрагментов ДНК, п.н. — 3000, 2500, 2000, 1500, 1000, 750, 500, 250;
  • концентрация, мг/мл — 0,5;
  • условия хранения — буфер 10 мМ Tris-HCl (pH 8.0), 5 мМ EDTA. Хранить при -20 °С.

Индекс риска

R10Огнеопасно
R36/37/38Раздражает глаза, органы дыхания и кожу
Индекс риска (R)
10-36/37/38

Индекс безопасности

S16Хранить вдали от источников возгорания — Не курить
S26В случае попадания в глаза немедленно промыть глаза большим количеством воды и обратиться за медицинской помощью
S36Наденьте соответствующую защитную одежду
Индекс безопасности (S)
16-26-36
  • ДНК-маркер 3000/8С, 8 фрагментов от 250 до 3000 п.н. концентрат 0,5 мг/мл, diaGene
3020.0250
250 мкг
транспортировка -20°C
9 342, руб.
9 342, руб. RUB

Особенности ДНК-маркера pBlueSK/Mspl

  • Маркер молекулярного веса ДНК, содержит 13 фрагментов от 24 п.н. до 710 п.н.;
  • фрагменты: 24, 34, 57, 67, 110, 147, 157, 190, 242, 328, 404, 489, 710;
  • необходимо смешать с буфером для нанесения; условия хранения: -20 °C.

Индекс риска

R10Огнеопасно
R36/37/38Раздражает глаза, органы дыхания и кожу
Индекс риска (R)
10-36/37/38

Индекс безопасности

S16Хранить вдали от источников возгорания — Не курить
S26В случае попадания в глаза немедленно промыть глаза большим количеством воды и обратиться за медицинской помощью
S36Наденьте соответствующую защитную одежду
Индекс безопасности (S)
16-26-36
  • ДНК-маркер pBlueSK/Mspl, 13 фрагментов от 24 до 710 п.н.; концентрат 0,5 мг/мл, diaGene
1911
50 мкг
хранение -20°C
2 659, руб.
2 659, руб. RUB
Маркер молекулярного веса ДНК содержит 10 фрагментов от 100 до 1000 п.н.; фрагменты 100, 200, 300, 400, 500, 600, 700, 800, 900 и 1000 п.н; имеет эталонные полосы (повышенной концентрации) при 500 п.н., что облегчает идентификацию в геле; предварительно смешан с буфером для нанесения; рекомендуемый объём для нанесения на гель — 2 мкл; условия хранения: -20 °C.

Индекс риска

R10Огнеопасно
R36/37/38Раздражает глаза, органы дыхания и кожу
Индекс риска (R)
10-36/37/38

Индекс безопасности

S16Хранить вдали от источников возгорания — Не курить
S26В случае попадания в глаза немедленно промыть глаза большим количеством воды и обратиться за медицинской помощью
S36Наденьте соответствующую защитную одежду
Индекс безопасности (S)
16-26-36
  • Маркер длин ДНК, 1000/100-500, 10 фрагментов от 100 до 1000 п.н., готовый к применению, 0,1 мг/мл
1910
50 мкг
транспортировка -20°C
2 659, руб.
2 659, руб. RUB
Маркер молекулярного веса ДНК содержит 8 фрагментов от 250 до 3000 п.н.; фрагменты 250, 500, 750, 1000, 1500, 2000, 2500 и 3000 п.н.; концентрация ДНК-маркера — 0,1 мг/мл; предварительно смешан с буфером для нанесения; рекомендуемый объём для нанесения на гель — 2 мкл; условия хранения: -20 °C.

Индекс риска

R10Огнеопасно
R36/37/38Раздражает глаза, органы дыхания и кожу
Индекс риска (R)
10-36/37/38

Индекс безопасности

S16Хранить вдали от источников возгорания — Не курить
S26В случае попадания в глаза немедленно промыть глаза большим количеством воды и обратиться за медицинской помощью
S36Наденьте соответствующую защитную одежду
Индекс безопасности (S)
16-26-36
  • Маркер длин ДНК, 3000, 8 фрагментов от 250 до 3000 п.н, готовый к применению, 0,1 мг/мл
3012
1 мл
хранение -20°C, транспортировка комнатная температура
583, руб.
583, руб. RUB
Буфер для хранения и нанесения образцов, содержит 2 красителя для оценки подвижности в геле,
состав: 12,5 % глицерин, 0,008% бромфеноловый синий, 0,008% ксиленцианол, 5 мМ ЭДТА, 10 мМTris-HCl (pH 8,0).

Индекс риска

R10Огнеопасно
R36/37/38Раздражает глаза, органы дыхания и кожу
Индекс риска (R)
10-36/37/38

Индекс безопасности

S16Хранить вдали от источников возгорания — Не курить
S26В случае попадания в глаза немедленно промыть глаза большим количеством воды и обратиться за медицинской помощью
S36Наденьте соответствующую защитную одежду
Индекс безопасности (S)
16-26-36
  • Маркер длин ДНК, 3000, 8 фрагментов от 250 до 3000 п.н, готовый к применению, 0,1 мг/мл
3013
1 мл
хранение -20°C
583, руб.
583, руб. RUB
Буфер для хранения и нанесения образцов, содержит 3 красителя для оценки подвижности в геле,
состав: 60 % глицерин, 0,003% бромфеноловый синий, 0,003% ксиленцианол, 0,15% оранжевый G, 60 мМ ЭДТА, 10 мМTris-HCl (pH 7,6).

Индекс риска

R10Огнеопасно
R36/37/38Раздражает глаза, органы дыхания и кожу
Индекс риска (R)
10-36/37/38

Индекс безопасности

S16Хранить вдали от источников возгорания — Не курить
S26В случае попадания в глаза немедленно промыть глаза большим количеством воды и обратиться за медицинской помощью
S36Наденьте соответствующую защитную одежду
Индекс безопасности (S)
16-26-36
  • Маркер длин ДНК, 3000, 8 фрагментов от 250 до 3000 п.н, готовый к применению, 0,1 мг/мл
B52
1 л
17 100, руб.
17 100, руб. RUB
Предназначен для электрофореза нуклеиновых кислот в полиакриламидном геле в нативных и денатурирующих условиях (7 М мочевина), а также для секвенирования ДНК методом капиллярного электрофореза. Рекомендуется для разделения фрагментов нуклеиновых кислот до 1500 нуклеотидов. ТВЕ может использоваться с агарозными гелями, но не рекомендуется для препаративного электрофореза. Так как борат является ингибитором ферментов, не рекомендуется использовать в случае последующих ферментативных модификаций ДНК. Отфильтрован через мембрану 0,22 мкм.

Индекс риска

R10Огнеопасно
R36/37/38Раздражает глаза, органы дыхания и кожу
Индекс риска (R)
10-36/37/38

Индекс безопасности

S16Хранить вдали от источников возгорания — Не курить
S26В случае попадания в глаза немедленно промыть глаза большим количеством воды и обратиться за медицинской помощью
S36Наденьте соответствующую защитную одежду
Индекс безопасности (S)
16-26-36
  • Маркер длин ДНК, 3000, 8 фрагментов от 250 до 3000 п.н, готовый к применению, 0,1 мг/мл
A-3945,1000
1 л
По запросу
По запросу

Товар временно недоступен. Аналог арт. 3773, Диаэм.


Состав Борная кислота: 55, 03 г/л (0,89 M),
ЭДТА-Na2*H2O: 7,44 г/л (0,02 M)
Трис: 107,81 г/л (0,89 M)
Внешний вид жидкость
ДНК-азы/РНК-азы/Протеазы не обнаружены
pH (20°C; H2O) 8,3 ± 0,2
Индекс опасности (H) H360FD
Индекс предупреждения (P) P201, P202, P280, P308+P313, P405, P501
Символы опасности Опасность для здоровья

Индекс риска

R10Огнеопасно
R36/37/38Раздражает глаза, органы дыхания и кожу
Индекс риска (R)
10-36/37/38

Индекс безопасности

S16Хранить вдали от источников возгорания — Не курить
S26В случае попадания в глаза немедленно промыть глаза большим количеством воды и обратиться за медицинской помощью
S36Наденьте соответствующую защитную одежду
Индекс безопасности (S)
16-26-36
  • Маркер длин ДНК, 3000, 8 фрагментов от 250 до 3000 п.н, готовый к применению, 0,1 мг/мл
1610733
1610733
1 л
14 713, руб.
151,= EUR
1610770
5 л
29 189, руб.
299,= EUR
Предназначен для нативного и денатурирующего электрофореза нуклеиновых кислот в агарозном и полиакриламидном гелях. В отличие от ТАЕ-буфера, обладает большей буферной ёмкостью и теплоёмкостью, что делает его пригодным для длительного электрофореза. Приготовлен на деионизованной воде (18 МОм). 1-кратный буфер содержит 89 мМ Трис, 89 мМ борную кислоту и 2 мМ ЭДТА, рН 8.3.

Индекс риска

R10Огнеопасно
R36/37/38Раздражает глаза, органы дыхания и кожу
Индекс риска (R)
10-36/37/38

Индекс безопасности

S16Хранить вдали от источников возгорания — Не курить
S26В случае попадания в глаза немедленно промыть глаза большим количеством воды и обратиться за медицинской помощью
S36Наденьте соответствующую защитную одежду
Индекс безопасности (S)
16-26-36
  • Маркер длин ДНК, 3000, 8 фрагментов от 250 до 3000 п.н, готовый к применению, 0,1 мг/мл
AM9863
AM9863
1 л
По запросу
По запросу
AM9865
4x1 л
По запросу
По запросу
AM9864
10x1 л
По запросу
По запросу
Предназначен для электрофореза нуклеиновых кислот в полиакриламидном и агарозном гелях, преимущественно, для электрофореза РНК. Приготовлен из компонентов, тестированных на отсутствие РНКазной и других нуклеазных активностей. Сертифицирован как не содержащий РНКаз (RNAse-free). Поставляется в пластиковых бутылях ёмкостью 1 л.

Индекс риска

R10Огнеопасно
R36/37/38Раздражает глаза, органы дыхания и кожу
Индекс риска (R)
10-36/37/38

Индекс безопасности

S16Хранить вдали от источников возгорания — Не курить
S26В случае попадания в глаза немедленно промыть глаза большим количеством воды и обратиться за медицинской помощью
S36Наденьте соответствующую защитную одежду
Индекс безопасности (S)
16-26-36
  • Маркер длин ДНК, 3000, 8 фрагментов от 250 до 3000 п.н, готовый к применению, 0,1 мг/мл
LC6876
10 мл
По запросу
По запросу
LC6675
1 л
транспортировка +4°C
По запросу
По запросу
Предназначен для электрофореза нуклеиновых кислот в полиакриламидном и агарозном гелях. Рекомендуется для электрофореза фрагментов от 10 до 3000 нуклеотидов с высоким разрешением в готовых гелях Novex DNA Retardation gels. Для приготовления образцов рекомендуется использовать буфер Novex Hi-Density TBE Sample Buffer.

Индекс риска

R10Огнеопасно
R36/37/38Раздражает глаза, органы дыхания и кожу
Индекс риска (R)
10-36/37/38

Индекс безопасности

S16Хранить вдали от источников возгорания — Не курить
S26В случае попадания в глаза немедленно промыть глаза большим количеством воды и обратиться за медицинской помощью
S36Наденьте соответствующую защитную одежду
Индекс безопасности (S)
16-26-36
  • Маркер длин ДНК, 3000, 8 фрагментов от 250 до 3000 п.н, готовый к применению, 0,1 мг/мл
LC6678
10 мл
По запросу
По запросу

Индекс риска

R10Огнеопасно
R36/37/38Раздражает глаза, органы дыхания и кожу
Индекс риска (R)
10-36/37/38

Индекс безопасности

S16Хранить вдали от источников возгорания — Не курить
S26В случае попадания в глаза немедленно промыть глаза большим количеством воды и обратиться за медицинской помощью
S36Наденьте соответствующую защитную одежду
Индекс безопасности (S)
16-26-36
  • Буфер TBE (Трис-борат-ЭДТА), Novexm Hi-Density TBE Sample Buffer (5X)
28355
1 л
По запросу
По запросу
Предназначен для электрофореза нуклеиновых кислот в полиакриламидном и агарозном гелях. 1-кратный раствор ТВЕ-буфера содержит 0,089 М Трис, 0,089 М борную кислоту и 2 мМ ЭДТА, рН 8.2-8.4. Рекомендуется в качестве электродного буфера и буфера для заливки гелей.

Индекс риска

R10Огнеопасно
R36/37/38Раздражает глаза, органы дыхания и кожу
Индекс риска (R)
10-36/37/38

Индекс безопасности

S16Хранить вдали от источников возгорания — Не курить
S26В случае попадания в глаза немедленно промыть глаза большим количеством воды и обратиться за медицинской помощью
S36Наденьте соответствующую защитную одежду
Индекс безопасности (S)
16-26-36
  • Буфер TBE (Трис-борат-ЭДТА), Novexm Hi-Density TBE Sample Buffer (5X)
15581044
15581044
1 л
По запросу
По запросу
15581028
10 л
По запросу
По запросу
Стерильно фильтрованный буфер, предназначен для электрофореза нуклеиновых кислот в полиакриламидном и агарозном гелях. 1-кратный раствор ТВЕ-буфера содержит 0,1 М Трис, 0,09 М борную кислоту и 1 мМ ЭДТА, рН 8.3. Тестирован на отстутствие ДНКазной, РНКазной и протеазной активностей.

Индекс риска

R10Огнеопасно
R36/37/38Раздражает глаза, органы дыхания и кожу
Индекс риска (R)
10-36/37/38

Индекс безопасности

S16Хранить вдали от источников возгорания — Не курить
S26В случае попадания в глаза немедленно промыть глаза большим количеством воды и обратиться за медицинской помощью
S36Наденьте соответствующую защитную одежду
Индекс безопасности (S)
16-26-36
  • Буфер TBE (Трис-борат-ЭДТА), UltraPure, 10X
S33100
S33100
1 л
По запросу
По запросу
S33101
4 л
По запросу
По запросу
Длина волны возбуждения флуоресценции, нм 280 (УФ), 502 (голубой)
Длина волны испускания флуоресценции, нм 530 нм (зеленый)
Условия хранения 2 - 8 ºС, в темном месте
Индекс риска (R): 20,22,26, 36/37/38, 68 вреден при попадании в дыхательные пути
Индекс безопасности (S): 9,36,60

Индекс риска

R36/37/38Раздражает глаза, органы дыхания и кожу
Индекс риска (R)
20,22,26-36/37/38-68 вреден при попадании в дыхательные пути

Индекс безопасности

Индекс безопасности (S)
9,36,60
  • Краситель SYBR Safe, раствор в 0,5x буфере TBE
1703957
По запросу
По запросу

Набор для переноса ДНК/РНК для Trans-Blot SD, рамка для агароз. геля, 10хTBE буфер 1л, бумага для блоттинга.

Индекс риска

R36/37/38Раздражает глаза, органы дыхания и кожу
Индекс риска (R)
20,22,26-36/37/38-68 вреден при попадании в дыхательные пути

Индекс безопасности

Индекс безопасности (S)
9,36,60
  • Набор для переноса ДНК/РНК для Trans-Blot SD, рамка для агароз. геля, TBE буфер 1л, бумага
10105001
53 492, руб.
4 437 CNY

Источник питания для электрофоретического разделения НК, белков. Может быть использован для блотинга.

Характеристики источника питания WIX-EP300, Китай

  • Выходное напряжение, В — 10-300;
  • выходной ток, мА — 1-400;
  • выходная мощность, Вт — 75;
  • выход на 4 э/ф камеры;
  • таймер от 1 мин до 99 ч 59 мин;
  • ЖК дисплей, клавиатура;
  • режимы работы — постоянное напряжение, постоянный ток, постоянная мощность, таймер;
  • память на 20 программ по 10 шагов каждая;
  • безопасность — защита от дуговых пробоев, автоматический контроль перегрузки по току, напряжения, короткого замыкания. Защита от протечек, функция паузы;
  • габариты, мм — 300×240×100;
  • вес, кг — 2 кг.

Индекс риска

R36/37/38Раздражает глаза, органы дыхания и кожу
Индекс риска (R)
20,22,26-36/37/38-68 вреден при попадании в дыхательные пути

Индекс безопасности

Индекс безопасности (S)
9,36,60
  • Источник питания 10-300 В, 1-400 мА, 75 Вт, 4 выхода, WIX-EP300, Китай
10107001
74 989, руб.
6 220 CNY

Источник питания для электрофоретического разделения НК, белков. Может быть использован для блотинга.

Характеристики источника питания WIX-EP600, Китай

  • Выходное напряжение, В — 10-600;
  • выходной ток, мА — 1-1200;
  • выходная мощность, Вт — 1-500;
  • выход на 4 э/ф камеры;
  • таймер от 1 мин до 99 ч 59 мин;
  • ЖК дисплей, клавиатура;
  • режимы работы — постоянное напряжение, постоянный ток, постоянная мощность, таймер;
  • память на 20 программ по 10 шагов каждая;
  • безопасность — защита от дуговых пробоев, автоматический контроль перегрузки по току, напряжения, короткого замыкания. Защита от протечек, функция паузы;
  • габариты, мм — 300×240×100;
  • вес, кг — 2,5 кг.

Индекс риска

R36/37/38Раздражает глаза, органы дыхания и кожу
Индекс риска (R)
20,22,26-36/37/38-68 вреден при попадании в дыхательные пути

Индекс безопасности

Индекс безопасности (S)
9,36,60
  • Источник питания 10-600 В, 1-1200 мА, 1-500 Вт, 4 выхода, WIX-EP600
10118001
107 269, руб.
8 898 CNY

Источник питания для электрофоретического разделения НК, белков. Может быть использован для блотинга.

Характеристики источника питания WIX-EP3000, Китай

  • Выходное напряжение, В — 5-250;
  • выходной ток, мА — 1-3000;
  • выходная мощность, Вт — 1-300;
  • выход на 4 э/ф камеры;
  • таймер от 1 мин до 99 ч 59 мин;
  • ЖК дисплей, клавиатура;
  • режимы работы — постоянное напряжение, постоянный ток, постоянная мощность, таймер;
  • память на 20 программ по 10 шагов каждая;
  • безопасность — защита от дуговых пробоев, автоматический контроль перегрузки по току, напряжения, короткого замыкания. Защита от протечек, функция паузы;
  • габариты, мм — 300×240×100;
  • вес, кг — 2,5 кг.

Индекс риска

R36/37/38Раздражает глаза, органы дыхания и кожу
Индекс риска (R)
20,22,26-36/37/38-68 вреден при попадании в дыхательные пути

Индекс безопасности

Индекс безопасности (S)
9,36,60
  • Источник питания 5-250 В, 1-3000 мА, 1-300 Вт, 4 выхода, WIX-EP3000, Китай
10114001
New
280 942, руб.
23 305 CNY

Источник питания в комплекте с камерой для проведения экспериментов вестерн-блоттинга. Электрофорез и перенос занимают один час. Перенос образцов белков на мембраны NC и PVDF занимает 20 минут.

Отличающей характеристикой данного источника является встроенный блок питания и охлаждающий циркуляционный насос для непосредственного циклирования буфера.

Источник питания совместим с переносом с высоким током (быстрым переносом) и с низким током (ночным переносом). После переноса буфер автоматически возвращается из охлаждающего циркуляционного насоса в емкость для переноса.

Характеристики источника питания WIX-fastPB, Китай

  • Выходное напряжение, В — 10-220;
  • выходной ток, мА — 10-1400;
  • выходная мощность, Вт — 1-300;
  • выход на 2 э/ф камеры;
  • таймер, мин — от 1 до 999;
  • сенсорный ЖК дисплей;
  • мощность цикла охлаждения, Вт — 210;
  • жидкостный охлаждающий цикл, л/мин — 1;
  • габариты, мм — 155×235×175.

Характеристики вертикальной камеры

  • Для полиакриламидных гелей мини-формата;
  • постановка до 4-х гелей одновременно;
  • постановка мини-гелей в течение 1 часа;
  • форма основания заливочной рамки предотвращает падение стеклянной пластины;
  • плоская конструкция заливочной рамки удобна для наблюдения за процессом заливки геля;
  • полная совместимость с готовыми гелями формата mini любой марки;
  • количество гелей — 1-4;
  • размер геля, см — 8,3×7,3;
  • толщина геля, мм — 1,0 (стандарт); 0,75; 1,5;
  • гребенки на 10 или 15 образцов;
  • спейсеры толщиной 0,75, 1,0 или 1,5 мм;
  • размер переносимых частиц, мм — 110×90;
  • количество переносимых частиц, шт. — 1-4;
  • габариты, мм —135×180×180.

Индекс риска

R36/37/38Раздражает глаза, органы дыхания и кожу
Индекс риска (R)
20,22,26-36/37/38-68 вреден при попадании в дыхательные пути

Индекс безопасности

Индекс безопасности (S)
9,36,60
  • Источник питания 10-220 В, 10-1400 мА, 1-300 Вт, 2 выхода, с охлаждающим циркуляционным насосом, WIX-fastPB, WIX
О-ELF8
РУ
Регистрационное удостоверение на медицинское изделие Росздравнадзора
90 900, руб.
90 900, руб. RUB

Рекомендуется для применения с акриламидными гелями с рабочим напряжением до 800 В.

  • Выходное напряжение, В — 10-800;
  • выходной ток, мА — 3-200;
  • выходная мощность, Вт — 0,5-80;
  • выход на 2 э/ф камеры;
  • таймер от 1 мин до 16 ч;
  • безопасность - защита от короткого замыкания, разрыва цепи, утечки на землю, изменения нагрузки, внутреннее тестирование;
  • габариты, мм — 170×120×55;
  • вес, г — 900.

Индекс риска

R36/37/38Раздражает глаза, органы дыхания и кожу
Индекс риска (R)
20,22,26-36/37/38-68 вреден при попадании в дыхательные пути

Индекс безопасности

Индекс безопасности (S)
9,36,60
  • Источник питания, 10-800 В, 3-200 мА, 0,5-80 Вт, 2 выхода, Эльф-8
О-ELF4
РУ
Регистрационное удостоверение на медицинское изделие Росздравнадзора
81 000, руб.
81 000, руб. RUB

Рекомендуется для применения с агарозными гелями, либо акриламидные с рабочим напряжением до 400 В.

  • Выходное напряжение, В — 5-400;
  • выходной ток, мА — 5-400;
  • выходная мощность, Вт — 0,5-80;
  • выход на 2 э/ф камеры;
  • таймер от 1 мин до 16 ч;
  • безопасность - защита от короткого замыкания, разрыва цепи, утечки на землю, изменения нагрузки, внутреннее тестирование;
  • габариты, мм — 170×120×55;
  • вес, г — 900.

Индекс риска

R36/37/38Раздражает глаза, органы дыхания и кожу
Индекс риска (R)
20,22,26-36/37/38-68 вреден при попадании в дыхательные пути

Индекс безопасности

Индекс безопасности (S)
9,36,60
  • Источник питания, 5-400 В, 5-400 мА, 0,5-80 Вт, 2 выхода, Эльф-4
10101001
28 733, руб.
2 383 CNY

Электрофорезная камера предназначена для разделения ДНК и РНК в геле.

Характеристики электрофорезной горизонтальной камеры WIX-midiDNA

  • Возможность разделения до 108 образцов одновременно, включая маркер, при использовании гребенки на 27 лунок по 4 ряда;
  • гребенки на 14, 19, 27 лунок позволяют загружать образцы с помощью 8-канальной и 12-канальной пипетки;
  • размер геля, см — 13×13, 13×6,5, 6,5×13, 6,5×6,5;
  • объем буфера, мл — 1000;
  • требуется постоянный ток;
  • максимальное напряжение, В — 200;
  • максимальная мощность, Вт — 40;
  • максимальная температура буфера, °С — 40;
  • габариты, ДхШхВ, см — 30×17×8;
  • вес, кг — 1,1.

Комплект поставки:

  • камера, шт. — 1;
  • верхняя крышка и провод питания — 1 набор;
  • электроды — 1 пара;
  • рамка для приготовления геля, шт. — 1;
  • лоток для геля: 13×13 см — 1 шт., 13×6,5 см — 1 шт., 6,5×13 см — 1 шт., 6,5×6,5 см — 2 шт.;
  • гребенки:
    • 7+7/14 лунок, толщиной 0,75 мм, шт. — 1;
    • 9+9/19 лунок, толщиной 0,75 мм, шт. — 1;
    • 12+12/27 лунок, толщиной 1,0 мм, шт. — 4;
    • 7+7/14 лунок, толщиной 1,5 мм, шт. — 1;
    • 9+9/19 лунок, толщиной 1,5 мм, шт. — 1;
    • 3+3/3+2 лунок, толщиной 2,0 мм, шт. — 1;
  • инструкция, шт. — 1.

Индекс риска

R36/37/38Раздражает глаза, органы дыхания и кожу
Индекс риска (R)
20,22,26-36/37/38-68 вреден при попадании в дыхательные пути

Индекс безопасности

Индекс безопасности (S)
9,36,60
10102001
21 851, руб.
1 813 CNY

Электрофорезная камера предназначена для быстрого разделения ДНК и РНК в геле.

Характеристики электрофорезной горизонтальной камеры WIX-miniDNA

  • Возможность разделения до 32 образцов в течение 20 минут;
  • лоток для геля устойчив к высоким температурам, не деформируется при температуре 100 °С;
  • размер геля, см — 7×7, 7×10;
  • объем буфера, мл — 260;
  • требуется постоянный ток;
  • максимальное напряжение, В — 150;
  • максимальная мощность, Вт — 10;
  • максимальная температура буфера, °С — 40;
  • габариты, ДхШхВ, см — 26×11×8;
  • вес — 0,6 кг.

Комплект поставки:

  • камера, шт. — 1;
  • верхняя крышка и провод питания — 1 набор;
  • электроды — 1 пара;
  • рамка для приготовления геля, шт. — 1;
  • лоток для геля: 7×7 см — 1 шт., 7×10 см — 1 шт.;
  • гребенки:
    • 9/16 лунок, толщиной 0,75 мм, шт. — 1;
    • 9/16 лунок, толщиной 1 мм, шт. — 1;
    • 9/16 лунок, толщиной 1,5 мм, шт. — 1;
  • инструкция, шт. — 1.

Индекс риска

R36/37/38Раздражает глаза, органы дыхания и кожу
Индекс риска (R)
20,22,26-36/37/38-68 вреден при попадании в дыхательные пути

Индекс безопасности

Индекс безопасности (S)
9,36,60
Mupid-exU
По запросу
По запросу

Модель снята с производства. Аналог Mupid-one, Япония.


Mupid-Exu –электрофорезная горизонтальная камера в комплекте с отсоединяемым источником питания и 7 различными выходными напряжениями, подложка и камера прозрачны для Уф. Просматривать гель можно установив камеру прямо на трансиллюминатор.
  • Объем буфера, мл – 270-320;
  • УФ-прозрачная электрофоретическая ячейка и подложка для геля - пропускание 50% при 254 нм, 80% - при 312 нм;
  • размер гелей/число лунок - 125мм х 60мм, 125мм х 122мм / 26 лунок шириной 2 мм, интервалом 4,5 мм, 13 лунок шириной 6 мм, интервалом 9 мм;
  • совместимость с многоканальными пипетками;
  • подложки для геля, гребенки и заливочный столик выполнены из термоустойчивого пластика для использования в горячей воде до 100 °C;
  • размер заливочного столика, ШхДхВ, мм – 149х125х20;
  • размер подложки для гелей размером 125 х 60 мм, ШхДхВ, мм – 130х59,5х13;
  • размер подложки для гелей размером 125 х 122 мм, ШхДхВ, мм – 130х122х13;
  • мультифункциональный источник питания:
    - таймер 0-99 мин, функциями паузы;
    - автоматическое запоминание последних использованных значений напряжения и таймера;
    - 7 возможных выходных напряжения - 135, 100, 50, 25, 70, 35, 18 В;
  • автоматическое отключение питания при удалении крышки;
  • габариты ячейки, ШхДхВ, см — 18,3×16,4×5,6;
  • габариты источника питания, ШхДхВ, см – 7,5х17х6,2;
  • вес источника питания, г – 410.

Комплект поставки:

  • ячейка из УФ-прозрачного пластика;
  • защитная крышка;
  • источник питания;
  • комплект для заливки гелей X-MS (2 подложки для гелей размером 125 х 60 мм;1 подложка для гелей размером 125 х 122 мм; 4 двусторонних гребенки на 13 и 26 лунок (13 лунок шириной 6 мм, интервалом 9 мм, толщиной 1 мм; 26 лунок шириной 2 мм, интервалом 4,5 мм, толщиной 1 мм); заливочный столик).

Аксессуары и опции:

  • электрофоретическая ячейка с крышкой;
  • защитная крышка;
  • источник питания;
  • комплект для заливки гелей X-MS в составе из подложки для геля X-GL, 2 подложки для геля X-GS, 4 стандартных гребенки, заливочный столик;
  • подложка для геля X-GL (2 шт./уп.);
  • подложка для геля X-GS (4 шт./уп.);
  • заливочный столик;
  • гребенка стандартная X-C1 (2 шт./уп.);
  • комплект для заливки гелей стандарт GML;
  • комплект для заливки гелей термоустойчивый GM-HR.

Индекс риска

R36/37/38Раздражает глаза, органы дыхания и кожу
Индекс риска (R)
20,22,26-36/37/38-68 вреден при попадании в дыхательные пути

Индекс безопасности

Индекс безопасности (S)
9,36,60
  • Электрофорезная горизонтальная система, 13х5,95 и 13х12,2 см, 13 и 26 лунок, 9 и 4,5 мм заливочный столик, источник питания, Mupid-exU
Mupid-one
209 710, руб.
1 176 343 KZT

Mupid-One – электрофорезная горизонтальная камера в комплекте с отсоединяемым источником питания и 7 различными выходными напряжениями, набором для заливки гелей из термоустойчивого пластика.

  • Объем буфера, мл – 270-320;
  • размер гелей/число лунок - 125мм х 60мм, 125мм х 122мм / 26 лунок шириной 2 мм, интервалом 4,5 мм, 13 лунок шириной 6 мм, интервалом 9 мм;
  • совместимость с многоканальными пипетками;
  • подложки для геля, гребенки и заливочный столик выполнены из термоустойчивого пластика для использования в горячей воде до 100 °C;
  • размер заливочного столика, ШхДхВ, мм – 149х125х20;
  • размер подложки для гелей размером 125 х 60 мм, ШхДхВ, мм – 130х59,5х13;
  • размер подложки для гелей размером 125 х 122 мм, ШхДхВ, мм – 130х122х13;
  • мультифункциональный источник питания:
    - таймер 0-99 мин, функциями паузы;
    - автоматическое запоминание последних использованных значений напряжения и таймера;
    - 7 возможных выходных напряжения - 135, 100, 50, 25, 70, 35, 18 В;
  • автоматическое отключение питания при удалении крышки;
  • габариты ячейки, ШхДхВ, см — 18,3×16,4×5,6;
  • габариты источника питания, ШхДхВ, см – 7,5х17х6,2;
  • вес источника питания, г – 410.

Комплект поставки:

  • ячейка электрофоретическая;
  • защитная крышка;
  • источник питания;
  • комплект для заливки гелей HR (2 шт. подложки S-HR, подложка L-HR, 4 шт. гребенки HR, заливочный столик HR, центральный разделитель HR).

Аксессуары и опции:

  • комплект для заливки гелей стандарт GML;
  • комплект для заливки гелей термоустойчивый GM-HR;
  • электрофоретическая ячейка с крышкой;
  • защитная крышка;
  • источник питания;
  • комплект для заливки гелей HR - из подложка для геля S-HR, 2 подложки для геля L-HR, 4 гребенки HR, заливочный столик;
  • подложка для геля L-HR, 2 шт./уп.;
  • подложка для геля S-HR, 4 шт./уп.;
  • заливочный столик;
  • гребенка HR, 2 шт./уп.

Индекс риска

R36/37/38Раздражает глаза, органы дыхания и кожу
Индекс риска (R)
20,22,26-36/37/38-68 вреден при попадании в дыхательные пути

Индекс безопасности

Индекс безопасности (S)
9,36,60
  • Электрофорезная горизонтальная система, 13х5,95 и 13х12,2 см, 13 и 26 лунок, 9 и 4,5 мм, заливочный столик термостойкий, интегрированный съемный источник питания, Mupid-one
1111 0800 1
По запросу
По запросу

Doc-Print это автономная система визуализации для рутинного гельдокументирования. Нажатием одной кнопки в течение нескольких секунд пользователь получает изображения с высоким разрешением ДНК, РНК или белковых гелей, которые могут быть распечатаны напрямую или сохранены во внутренней памяти.
Полностью автономная система с отдельно стоящим дисплеем. Колпак с CCD камерой исследовательского типа CX3 позволяет работать с любыми трансиллюминаторами любых производителей.

Характеристики системы Doc-Print

  • Изображение 16 бит, 65536 оттенков серого;
  • разрешение камеры, Мп — 3;
  • разрешение изображения, Мп — 20;
  • ручная регулировка диафрагмы, увеличения изображения и фокуса;
  • автоматический подбор времени экспозиции и «захват» изображения;
  • сенсорный монитор, см — 32;
  • USB-порт;
  • зум;
  • линзы с фокусным расстоянием f 1,2;
  • поле зрения, см — 24×18;
  • трансиллюминатор в комплект поставки не входит (можно использовать трансиллюминатор любого производителя);
  • светофильтр 590 нм в комплекте;
  • полное соответствие GLP стандартам.

Вы можете использовать уже имеющийся трансиллюминатор или доукомплектовать данную систему трансилюминаторами Vilber Lourmat.

Аксессуары:

Система комплектуется ПО Vision-Capt:

  • повышение качества изображения;
  • добавление текстовых комментариев, символов, даты;
  • вычисление молекулярного веса;
  • определение количества полос;
  • определение длины пробега;
  • подсчет колоний.

Индекс риска

R36/37/38Раздражает глаза, органы дыхания и кожу
Индекс риска (R)
20,22,26-36/37/38-68 вреден при попадании в дыхательные пути

Индекс безопасности

Индекс безопасности (S)
9,36,60
1311 7609 1
По запросу
По запросу

Товар временно недоступен. Аналоги по запросу ниже.



Система Bio-Print-CX4 Edge полностью автоматическая система (компьютерный контроль объектива, освещения и экспозиции), новый компактный дизайн; идеальное сочетание производительности и стоимости для работы с гелями. Все модели снабжены цифровой CCD камерой исследовательского типа CX4, трансиллюминатором и светофильтром 590 нм для работы с этидиум бромидом.
  • Изображение 16 бит, 65536 оттенков серого;
  • разрешение камеры, Мп — 2;
  • разрешение изображения, Мп — 7,6;
  • моторизованный зум;
  • линзы с фокусным расстоянием f 1,2;
  • автоматический подбор времени экспозиции и «захват» изображения; автоматическая индикация «оптимальности» экспозиции;
  • одно положение фильтра — F590;
  • верхнее Epi белое освещение в камере — LED-источники света;
  • автоматическое управление светом через ПО;
  • трансиллюминатор-pad фиксирован в «темной комнате», не выдвигается;
  • «темные комнаты» изготовлены из металла; устойчивы, надежны, удобны, компактны;
  • надежная дверная защелка, совмещенная с системой выключения УФ при открывании дверцы;
  • автоматическое отключение УФ через 5 мин работы;
  • управление требует наличия компьютера;
  • сохранение изображения на жестком диске компьютера;
  • USB2 порт;
  • полное соответствие GLP стандартам.

Система Bio-Print-CX4 Edge поставляется в комплекте со светофильтром 590 нм.

Вы можете модифицировать данную систему следующими опциями и аксессуарами, обратившись к специалистам отдела продаж:

Опции:
  • УФ-трансиллюминатор;
  • валидационные папки IQ, OQ, PQ.
Аксессуары:
  • экран конверсионный FC-26, WL УФ/видимый свет;
  • экран конверсионный FC-26, Blue УФ/голубой свет;
  • очки защитные.

Система комплектуется ПО Bio-Vision:

  • библиотека применений Apps Studio, более 40 протоколов;
2.png

  • 3D-изображение;
3.png 4.png

  • повышение качества изображения;
  • добавление текстовых комментариев, символов, даты;
  • вычисление молекулярного веса;
  • определение количества полос;
  • определение длины пробега;
  • подсчет колоний.

Подробнее о системе на сайте производителя.

Индекс риска

R36/37/38Раздражает глаза, органы дыхания и кожу
Индекс риска (R)
20,22,26-36/37/38-68 вреден при попадании в дыхательные пути

Индекс безопасности

Индекс безопасности (S)
9,36,60
  • Гельдокументирующая система Bio-Print CX4 Edge, моторизованный зум, без трансиллюминатора
1611 2600 1
По запросу
По запросу

Товар временно недоступен. Аналоги по запросу ниже.



Системы E-Box CX5 полностью автономные системы с тачскрином и встроенным компьютером.

PadBox версия системы с трансилюминаторами-pad позволяет использовать до 6 источников света в УФ- и видимой областях.

E-Box CX5 идеальны для большого количества задач, таких как, визуализация ДНК или РНК гелей, 1D белковых гелей, stain free гелей. Все модели снабжены цифровой CCD камерой исследовательского типа CX5, светофильтром 590 нм для работы с этидиум бромидом, Sybr-Green, Sybr-gold и т.д.

Фильтры и трансилюминатор-pad для работы с другими красителями заказываются дополнительно.

  • Изображение 16 бит, 65536 оттенков серого;
  • разрешение камеры, Мп — 5;
  • разрешение изображения, Мп — 20;
  • моторизованный зум;
  • линзы с фокусным расстоянием f 1,2;
  • автоматическая фокусировка;
  • автоматический подбор времени экспозиции и «захват» изображения; автоматическая индикация «оптимальности» экспозиции;
  • автоматическое управление светом;
  • автоматическое отключение УФ через 5 мин работы;
  • 4-х позиционный держатель светофильтров;
  • верхнее Epi белое освещение в комнате – LED-источники света;
  • трансиллюминаторы-pad не встроены в «темную комнату» и могут (кроме Spectra Pad) использоваться самостоятельно (опция – зарядный адаптер), выдвигаются на полозьях, что позволяет значительно облегчить все манипуляции с гелями (локализация, вырезание и пр);
  • «темные комнаты» изготовлены из металла; устойчивы, надежны, удобны, компактны;
  • надежная удобная дверная защелка, совмещенная с системой выключения УФ при открывании дверцы;
  • тачскрин дисплей, см — 32;
  • автономное управление, встроенный компьютер;
  • сохранение изображения в памяти прибора — диск SSD 32Гб;
  • Network подключение;
  • полное соответствие GLP стандартам.

Подробное описание систем E-Box по сайту производителя см. здесь


Системы комплектуется ПО Vision-Capt:
  • библиотека применений AppsStudio, 3D изображение;
  • повышение качества изображения;
  • добавление текстовых комментариев, символов, даты;
  • вычисление молекулярного веса;
  • определение количества полос;
  • определение длины пробега;
  • подсчет колоний.
ПО Vision-Capt
ПО для гельдокументирующей системы E-Box, Vilber Lourmat

Вы можете модифицировать данную систему следующими опциями и аксессуарами, обратившись к специалистам отдела продаж.

Опции:

  • валидационные папки IQ, OQ, PQ.

Аксессуары:

Индекс риска

R36/37/38Раздражает глаза, органы дыхания и кожу
Индекс риска (R)
20,22,26-36/37/38-68 вреден при попадании в дыхательные пути

Индекс безопасности

Индекс безопасности (S)
9,36,60
1011 5679 1
867 912, руб.
8 901,= EUR
Quantum-CX5 — совершенная система для визуализации и документирования широкого ряда стандартных задач (возможность использовать до 10 светофильтров в диапазоне от 440 нм до 850 нм), а также для подготовки изображений для публикаций.

Получение результата нажатием одной кнопки — one click to image.

Все модели снабжены цифровой CCD камерой исследовательского типа CX5, системой Padbox и светофильтром 590 нм для работы с этидиум бромидом.

  • Изображение 16 бит, 65536 оттенков серого;
  • разрешение камеры, Мп — 5;
  • разрешение изображения, Мп — 20;
  • 10-позиционный моторизованный фильтродержатель;
  • моторизованный зум;
  • линзы с фокусным расстоянием f 1,2;
  • автоматическая фокусировка;
  • автоматический подбор времени экспозиции и «захват» изображения; автоматическая индикация «оптимальности» экспозиции;
  • автоматическое управление светом;
  • автоматическое отключение УФ через 5 мин работы;
  • верхнее Epi белое освещение — LED-источники света;
  • «темные комнаты» изготовлены из металла; устойчивы, надежны, удобны, компактны;
  • надежная дверная защелка, совмещенная с системой выключения УФ при открывании дверцы;
  • управление требует наличия компьютера;
  • трансиллюминаторы-pad не встроены в «темную комнату» и могут использоваться самостоятельно (опция — зарядный адаптер), выдвигающийся на полозьях, что позволяет значительно облегчить все манипуляции с гелями (локализация, вырезание и пр);
  • полное соответствие GLP стандартам.

Система QUANTUM-CX5/WL-PADBox, поставляется в комплекте со светофильтром 590 нм и ПО Bio-Vision. Трансиллюминатор-pad заказывается отдельно.

Система комплектуется ПО Bio-Vision:

  • библиотека применений Apps Studio, более 40 протоколов;
  • ПО Bio-Vision

  • 3D изображение;
  • 3D изображение ПО Bio-Vision Повышение качества изображения в ПО Bio-Vision

  • повышение качества изображения;
  • добавление текстовых комментариев, символов, даты;
  • вычисление молекулярного веса;
  • определение количества полос;
  • определение длины пробега;
  • подсчет колоний.

Вы можете модифицировать данную систему следующими опциями и аксессуарами, обратившись к специалистам отдела продаж:

Опции:
  • валидационные папки IQ, OQ, PQ.
Аксессуары:

  • трансиллюминатор-pad White light (LED), 20 × 20 см;
  • трансилюминатор-pad UV 312 нм (M), 21 × 26 см;
  • трансиллюминатор-pad 312/365 нм (ML), 21 × 26 см;
  • трансиллюминатор-pad Super-bright 312 нм (MX), 21 × 26 см;
  • трансиллюминатор-pad Super-bright 312/365 нм (MLX), 21 × 26 см;
  • трансиллюминатор-pad SkyLight (LED), 20 × 20 см;
  • экран конверсионный FC-26,WL УФ/видимый свет;
  • экран конверсионный FC-26,Blue УФ/голубой свет;
  • экран конверсионный FC-25,WL Skylight/видимый свет;
  • фильтры F-565, F-655, F-710, F-999 (Skylight);
  • очки защитные.

Индекс риска

R36/37/38Раздражает глаза, органы дыхания и кожу
Индекс риска (R)
20,22,26-36/37/38-68 вреден при попадании в дыхательные пути

Индекс безопасности

Индекс безопасности (S)
9,36,60
  • Гельдокументирующая система QUANTUM-CX5 Edge - PadBox, 5 Мп, моторизованный зум, без Pad-трансиллюминатора, фильтр 590 нм


Вебинар окончен. Всем участникам будут предоставлены видеозаписи вебинара и сопутствующие материалы.

По организационным вопросам обращайтесь к Карине Гусевой kg@dia-m.ru, тел. (495)745-0508, доб. 163.

Техническая поддержка: admin@dia-m.ru, тел. (495)745-0508, доб. 229.



Ниже вы можете задать вопрос или оставить запрос в свободной форме:

Раскрыть анкету для отправки запроса

Ваш заказ будет обработан
в ближайшее время.
Мы пришлем уведомление, как только все будет готово. Спасибо!