Возможно, вы сменили регион при заполнении корзины.
Часть товаров из корзины будет перемещена в статус отложенных
и не сможет быть оформлена для заказа, если вы продолжите работу в данном регионе
Уникальный фермент бензонуклеаза (бензоназа) эффективно гидролизует все примеси нуклеиновых кислот!
02.12.2020
Деградация нуклеиновых кислот – важная задача для многих методов в молекулярной биологии. Обычно в экспериментах применяют ДНКазы или РНКазы – ферменты гидролизующие только ДНК или только РНК, соответственно. Единственным эффективным методом удаления ДНК или РНК, является ферментативное расщепление нуклеиновых кислот с использованием бензонуклеазы.
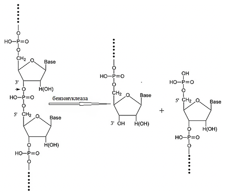
В отличие от других нуклеаз (ДНКаз или РНКаз) бензонуклеаза гидролизует как ДНК, так и РНК (одноцепочечные, двухцепочечные, линейные и кольцевые), поэтому фермент идеален для широкого спектра применений. Бензонуклеаза гидролизует все виды нуклеиновой кислоты с образованием олигодезоксинуклеотидов с концевыми 5’-монофосфатами длиной 3-5 оснований, и не имеет протеолитической активности.
Бензонуклеаза имеет широкий спектр применений:
очистка вирусных вакцин, вирусных векторов для вакцины;
удаление ДНК/РНК из белков и других биологических продуктов;
снижение вязкости, вызванное нуклеиновыми кислотами;
подготовка образца при электрофорезе и хроматографии;
Бензонуклеаза — это нуклеаза, расщепляющая все формы как ДНК, так и РНК (одноцепочечные, двухцепочечные, линейные и кольцевые). Фермент эффективен в широком диапазоне рабочих условий. Оптимальное значение pH для активности фермента составляет от 8,0 до 9,2. Бензонуклеаза гидролизует фосфодиэфирные связи, что приводит к образованию олигодезоксинуклеотидов с концевыми 5’-монофосфатами длиной 3-5 оснований.
Применение:
Бензонуклеаза идеальна для широкого спектра применений, где желательно полное расщепление нуклеиновых кислот:
для гидролиза природных или денатурированных нагреванием ДНК и РНК;
для удаления нуклеиновых кислот во время экстракции белка: бензонуклеаза уменьшает вязкость образца и облегчает последующие операции по очистке рекомбинантного белка или экстракции белка из образцов клеток тканей;
для удаления нуклеиновой кислоты из клеточного или бактериального лизата, снижения вязкости раствора и увеличения выхода белка;
для удаления примесей нуклеиновых кислот из препаратов рекомбинантного белка для подготовки образцов для двумерного гель-электрофореза белков;
для предотвращения слипания клеток в клеточной смеси;
для расщепление нуклеиновых кислот для облегчения получения высококачественных телец включения перед ренатурацией нерастворимых белков;
для удаления загрязнения ДНК при приготовлении проб вакцины и вируса.
Единица активности.
За единицу активности бензонуклеазы принимают количество фермента, превращающего 50 мкг ДНК спермы лосося в нуклеотиды за 30 минут при 37 °C в реакционном буфере: 50 мМ Трис-HСl, pH 8,0 и 1 мМ MgCl₂.
CAS No
9025-65-4
Чистота
≥ 90% (SDS-PAGE)
Концентрация
250 ед./мкл
Молекулярный вес (кДа)
30 000
Источник
Рекомбинантный белок полученный из E. coli
Оптимальная реакционная температура
20 - 37 °С
Оптимальный реакционный буфер
50 мМ Трис-HСl, 1 мМ MgCl₂, 50 - 150 мМ NaCl, pH 8,0
Токсичность
атоксичный
Условия хранения
50 мМ Трис-HCl, pH 8,0, 50 мМ NaCl, 5 мМ MgCl₂ и 50% глицерин
Бензаза (бензонуклеаза) — это нуклеаза, расщепляющая все формы как ДНК, так и РНК (одноцепочечные, двухцепочечные, линейные и кольцевые). Фермент эффективен в широком диапазоне рабочих условий. Оптимальное значение pH для активности фермента составляет от 8,0 до 9,2. Бензонуклеаза гидролизует фосфодиэфирные связи, что приводит к образованию олигодезоксинуклеотидов с концевыми 5’-монофосфатами длиной 3-5 оснований.
Применение бензазы (бензонуклеазы)
Бензаза (бензонуклеаза) идеальна для широкого спектра применений, где желательно полное расщепление нуклеиновых кислот:
для гидролиза природных или денатурированных нагреванием ДНК и РНК;
для удаления нуклеиновых кислот во время экстракции белка: бензонуклеаза уменьшает вязкость образца и облегчает последующие операции по очистке рекомбинантного белка или экстракции белка из образцов клеток тканей;
для удаления нуклеиновой кислоты из клеточного или бактериального лизата, снижения вязкости раствора и увеличения выхода белка;
для удаления примесей нуклеиновых кислот из препаратов рекомбинантного белка для подготовки образцов для двумерного гель-электрофореза белков;
для предотвращения слипания клеток в клеточной смеси;
для расщепление нуклеиновых кислот для облегчения получения высококачественных телец включения перед ренатурацией нерастворимых белков;
для удаления загрязнения ДНК при приготовлении проб вакцины и вируса.
Единица активности бензазы (бензонуклеазы)
За единицу активности бензазы (бензонуклеазы) принимают количество фермента, превращающего 50 мкг ДНК спермы лосося в нуклеотиды за 30 минут при 37 °C в реакционном буфере: 50 мМ Трис-HСl, pH 8,0 и 1 мМ MgCl₂.
CAS No
9025-65-4
Чистота
≥ 99% (SDS-PAGE)
Концентрация
250 ед./мкл
Молекулярный вес (кДа)
30 000
Источник
Рекомбинантный белок полученный из E. coli
Оптимальная реакционная температура
20 - 37 °С
Оптимальный реакционный буфер
50 мМ Трис-HСl, 1 мМ MgCl₂, 50 - 150 мМ NaCl, pH 8,0
Токсичность
атоксичный
Условия хранения
50 мМ Трис-HCl, pH 8,0, 50 мМ NaCl, 5 мМ MgCl₂ и 50% глицерин
Температура хранения
-20 °C
См. также:
Наборы diaGene для выделения и очистки нуклеиновых кислот
Ознакомьтесь с Политикой конфиденциальности, чтобы узнать больше о том, что такое cookies, а так же как и зачем мы используем их. Закрывая данное окно, вы отказываетесь от всех cookies.
Теперь с помощью мобильного телефона легко искать интересующее Вас оборудование,
реактивы и расходные материалы, проверять наличие на складе, сделать заказ
и отслеживать его выполнение!
Подпишитесь на канал Telegram Диаэм
Будьте в курсе последних новостей науки, технологий и интересных предложений!
Актуальные новости из мира Life sciences, биотехнологий и аналитической химии
стали еще доступнее.
Регистрация на сайте компании Диаэм доступна только для юридических лиц, для физических лиц сделать заказ и узнать его статус можно без регистрации или обратившись в компанию по телефону +7 495-745-0508 или электронной почте info@dia-m.ru